viimane versioon :
27/01/2026
vasodilataator   Minoxidil  
suukaudne lahus
salv
Stabiilsust ravimpreparaadid Stabiilsust mõjutavad tegurid stabiilsust mõjutavad faktorid Sobimatus Viited pdf
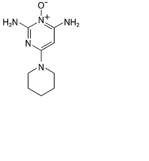
   keemiline struktuur  

suukaudne lahus
Viited   suukaudne lahus   Viited : Minoxidil  
tüüp avaldamine
4075 ajaleht Song Y, Whey Chin Z, Ellis D, Mon Phyo Lwin E, Turner S, Williams D, Garg S.
Stability of an extemporaneously compounded minoxidil oral suspension.
Am J Health-Syst Pharm 2018 ;75,5: 309-315

  Mentions Légales