آخر تحديث :
27/01/2026
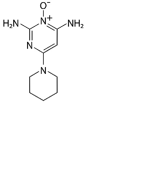
موسع الشرايين   Minoxidil  
عن طريق الفم
المراهم
استقرار المستحضرات الصيدلانية استقرار مخاليط العوامل التي تؤثر على الاستقرار التوافق مراجع pdf
   التركيب الكيميائي  

عن طريق الفم
مراجع   عن طريق الفم     مراجع : Minoxidil  
نوع منشور
4075 مجلة Song Y, Whey Chin Z, Ellis D, Mon Phyo Lwin E, Turner S, Williams D, Garg S.
Stability of an extemporaneously compounded minoxidil oral suspension.
Am J Health-Syst Pharm 2018 ;75,5: 309-315

  Mentions Légales