Pēdējā atjaunošana :
27/04/2026
Antihipertensīvs   Nitrendipine  
Orāls šķīdums
Stabilitāte farmaceitisko preparātu Maisījuma stabilitāte Stabilitāti ietekmējoši faktori Saderība Literatūras saraksts pdf
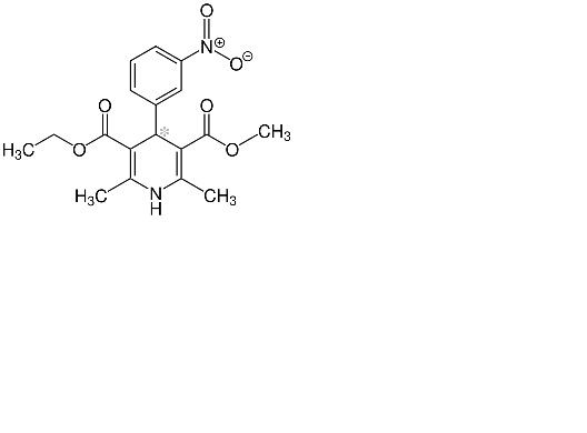
   Ķīmiskā uzbūve   

Orāls šķīdums
Maisījuma stabilitāte   Orāls šķīdums   Maisījuma stabilitāte : Nitrendipine     
Nav datu

  Mentions Légales