viimane versioon :
27/04/2026
Antihüpertensiivne ravim   Nitrendipine  
suukaudne lahus
Stabiilsust ravimpreparaadid Stabiilsust mõjutavad tegurid stabiilsust mõjutavad faktorid Sobimatus Viited pdf
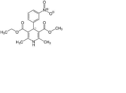
   keemiline struktuur  

suukaudne lahus
Stabiilsust mõjutavad tegurid   suukaudne lahus   Stabiilsust mõjutavad tegurid : Nitrendipine     
andmed puuduvad

  Mentions Légales