Last update :
27/04/2026
Antihypertensive   Nitrendipine  
Oral solution
Stability of pharmaceutical preparations Stability of mixtures Factors which affect stability Compatibility References pdf
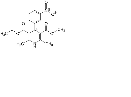
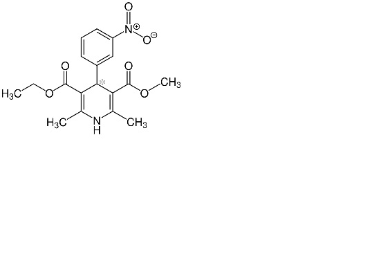
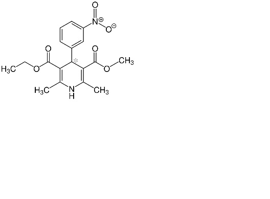
   Chemical structure  

Oral solution
Stability of mixtures   Oral solution   Stability of mixtures : Nitrendipine     
No data

  Mentions Légales