Ultimo aggiornamento :
27/01/2026
Antiepilettico   Topiramate  
Soluzione orale
Stabilità dei preparati farmaceutici Stabilità in miscela Fattori che influenzano la stabilità Compatibilità Bibliografia pdf
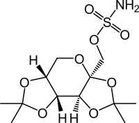
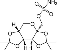
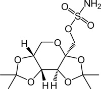
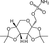
   Struttura chimica  

Soluzione orale

Fattori che influenzano la stabilità   Soluzione orale   Fattori che influenzano la stabilità : Topiramate        
Assenza di dati

  Mentions Légales