 |
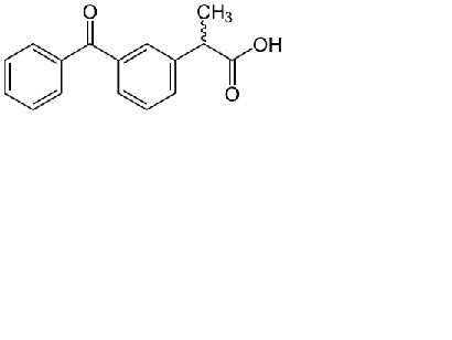
| Propilenglikol |
>> |
| Lipoderm® |
>> 100 g |
|
|
25°C |
| 14 |
 |
|
 |
3971
|
 |
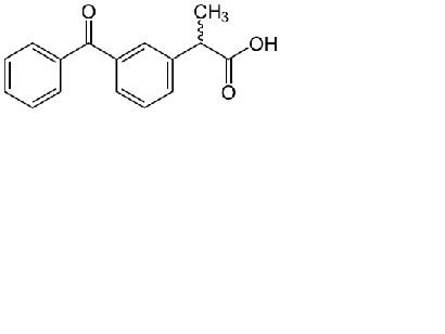
| Propilenglikol |
>> |
| Lipoderm® |
>> 100 g |
|
|
25°C |
| 14 |
 |
|
 |
3971
|
 |
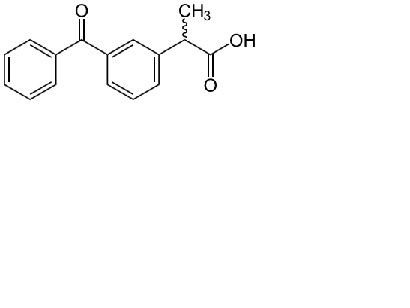
| Propilenglikol |
>> |
| Lipobase® |
>> 100 g |
|
|
25°C |
| 28 |
 |
|
 |
3971
|
 |
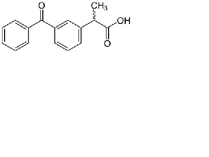
| Propilenglikol |
>> |
| Lipobase® |
>> 100 g |
|
|
25°C |
| 49 |
 |
|
 |
3971
|
 |
| Propilenglikol |
|
| Lipoderm® |
>> 100 g |
|
|
25°C |
| 120 |
 |
|
 |
3971
|
 |
| Propilenglikol |
>> |
| Lipobase® |
>> 100 g |
|
|
25°C |
| 120 |
 |
|
 |
3971
|