最新更新 :
27/01/2026
抗炎药   Ketoprofene  
药膏
口服剂 注射液 肛门塞剂
制剂的稳定性 混合物稳定性 影响稳定性的因素 兼容性 引用文献 PDF
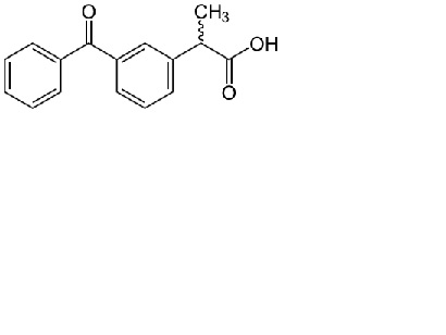
   化学式  

药膏
混合物稳定性   药膏   混合物稳定性 : Ketoprofene     
容器 添加剂 分子 温度 保存 穩定持續時間 引用文献
不详
丙二醇 >>
Lipoderm® >> 100 g
药膏   Ketoprofene 粉剂10 g  ® = ?
药膏   Amitriptyline hydrochloride 粉剂2 g  ® = ?
药膏   Gabapentine 粉剂4 g  ® = ?
25°C
14 白天
避光 3971
不详
丙二醇 >>
Lipoderm® >> 100 g
药膏   Ketoprofene 粉剂10 g  ® = ?
药膏   Amitriptyline hydrochloride 粉剂2 g  ® = ?
药膏   Gabapentine 粉剂6 g  ® = ?
药膏   Lidocaine hydrochloride 粉剂5 g  ® = ?
25°C
14 白天
避光 3971
不详
丙二醇 >>
Lipobase® >> 100 g
药膏   Ketoprofene 粉剂10 g  ® = ?
药膏   Lidocaine hydrochloride 粉剂5 g  ® = ?
药膏   Gabapentine 粉剂6 g  ® = ?
药膏   Amitriptyline hydrochloride 粉剂2 g  ® = ?
25°C
28 白天
避光 3971
不详
丙二醇 >>
Lipobase® >> 100 g
药膏   Ketoprofene 粉剂10 g  ® = ?
药膏   Gabapentine 粉剂4 g  ® = ?
药膏   Amitriptyline hydrochloride 粉剂2 g  ® = ?
25°C
49 白天
避光 3971
不详
丙二醇
Lipoderm® >> 100 g
药膏   Ketoprofene 粉剂5 g  ® = ?
药膏   Baclofen 粉剂5 g  ® = ?
25°C
120 白天
避光 3971
不详
丙二醇 >>
Lipobase® >> 100 g
药膏   Ketoprofene 粉剂5 g  ® = ?
药膏   Baclofen 粉剂5 g  ® = ?
25°C
120 白天
避光 3971

  Mentions Légales