Utolsó frissítés :
27/04/2026
Különféle   Indocyanine green  
Injekció
Az oldatok stabilitása A keverékek stabilitása Stabilitást befolyásoló tényezők Kompatibilitás Az alkalmazás módja Irodalom pdf
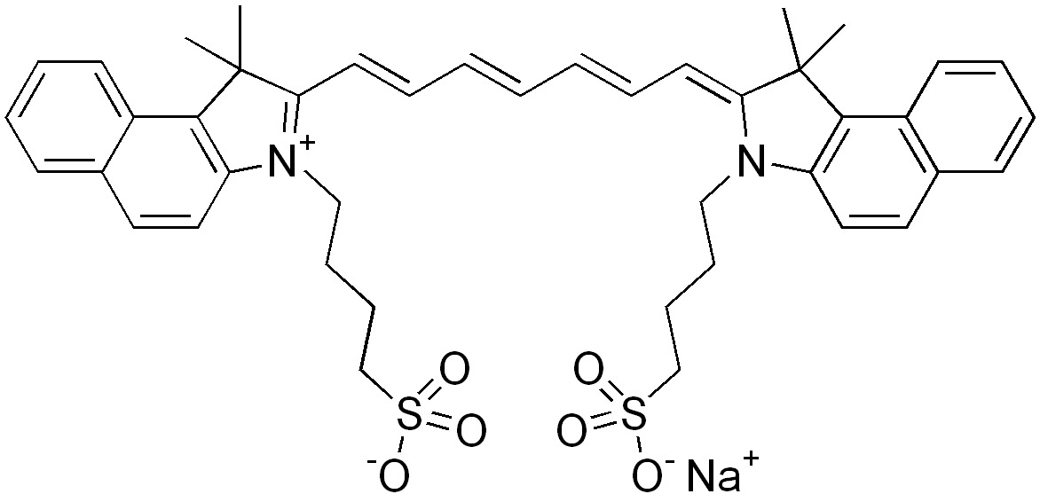
   Kémiai szerkezet   

Kereskedelmi név   Kereskedelmi név     

A kereskedelmi név meghatározó jelentőségű: a készítmények összetétele országonként, előállítóként eltérő lehet

Infracyanine Franciaország
Verdye Belgium, Írország, Magyarország, Németország, Olaszország, Románia, Spanyolország, Svédország
Irodalom   Injekció   Irodalom : Indocyanine green  
Type publikáció
3930 Laboratórium Indocyanine (Infracyanine®) - Résumé des caractéristiques du produit
Serb laboratoire 2013
4246 poszter Perks W, Law S, Marchesano R, Walker SE.
Stability of 2.5mg/mL Indocyanine Green (ICG) Solutions Stored in Syringes at 25ºC, 4ºC, -20ºC and -67ºC.
2019
4289 Napló Mindt S, Karampinis I, John M, Neumaier M, Nowak K.
Stability and degradation of indocyanine green in plasma, aqueous solution and whole blood.
Photochemical & Photobiological Sciences 2018

  Mentions Légales