Letztes “update” :
27/04/2026
Verschiedenes   Indocyanine green  
Injektion
Stabilität der Lösung Gemengestabilität Stabilitätbeeinflussende Faktoren Kompatibilitäten Applikationsart Literaturverzeichnis pdf
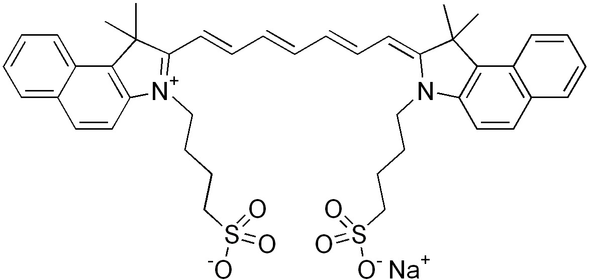
   Chemische Struktur  

Handelsmarke   Handelsmarke     

Handelsnamen sind als beispielhaft anzusehen. Sonstige Bestandteile können je nach Hersteller oder Land verschieden sein

Infracyanine Frankreich
Verdye Belgien, Deutschland, Irland, Italien, Rumänien, Schweden, Spanien, Ungarn
Literaturverzeichnis   Injektion   Literaturverzeichnis : Indocyanine green  
Typ Veröffentlichung
3930 Labor Indocyanine (Infracyanine®) - Résumé des caractéristiques du produit
Serb laboratoire 2013
4246 Poster Perks W, Law S, Marchesano R, Walker SE.
Stability of 2.5mg/mL Indocyanine Green (ICG) Solutions Stored in Syringes at 25ºC, 4ºC, -20ºC and -67ºC.
2019
4289 Zeitung Mindt S, Karampinis I, John M, Neumaier M, Nowak K.
Stability and degradation of indocyanine green in plasma, aqueous solution and whole blood.
Photochemical & Photobiological Sciences 2018

  Mentions Légales