Ultimo aggiornamento :
27/04/2026
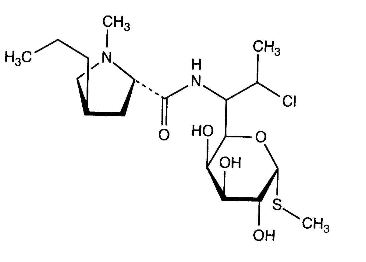
Antibiotico   Clindamycine hydrochloride  
Soluzione orale
Stabilità dei preparati farmaceutici Stabilità in miscela Fattori che influenzano la stabilità Compatibilità Bibliografia pdf
   Struttura chimica  

Soluzione orale
Bibliografia   Soluzione orale   Bibliografia : Clindamycine hydrochloride  
tipo pubblicazione
3901 Rivista Pramar Yashoda V, Graves Richard A, Ledet Grace A, Phan Kelly V, Bostanian Levon A,Mandal Tarun K
Stability of Clindamycin Hydrochloride in PCCA Base SuspendIt
Int J Pharm Compound 2016 ; 20, 5 : 421-425.

  Mentions Légales