Последно актуализиране :
27/04/2026
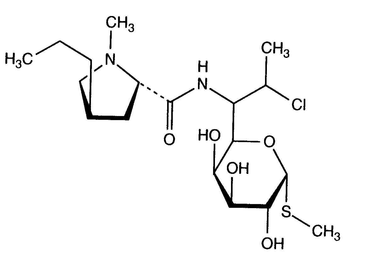
Антибиотик   Clindamycine hydrochloride  
Орален разтвор
Стабилност на лекарствени препарати Стабилност на смеси Фактори, повлияващи стабилността Съвместимост Библиография Pdf
   Химична структура  

Орален разтвор
Библиография   Орален разтвор   Библиография : Clindamycine hydrochloride  
Вид Публикация
3901 Списание Pramar Yashoda V, Graves Richard A, Ledet Grace A, Phan Kelly V, Bostanian Levon A,Mandal Tarun K
Stability of Clindamycin Hydrochloride in PCCA Base SuspendIt
Int J Pharm Compound 2016 ; 20, 5 : 421-425.

  Mentions Légales