Zadnji put ažurirano :
27/04/2026
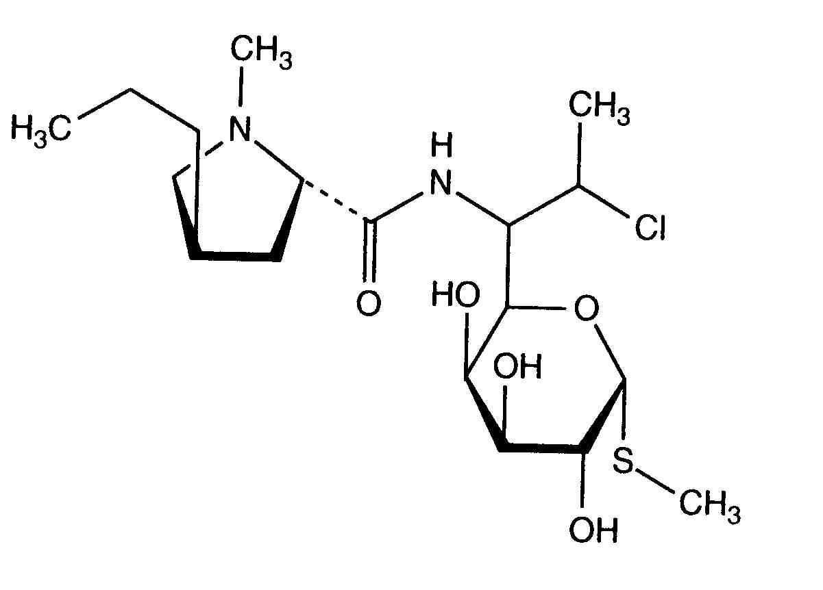
antibiotik   Clindamycine hydrochloride  
oralna otopina
Stabilnost farmaceutskih pripravaka Stabilnost mješavine Stabilizacijski faktor Kompatibilnosti Bibliografija pdf
   Kemijska struktura  

oralna otopina
Bibliografija   oralna otopina     Bibliografija : Clindamycine hydrochloride  
Vrsta Publikacija
3901 Časopis Pramar Yashoda V, Graves Richard A, Ledet Grace A, Phan Kelly V, Bostanian Levon A,Mandal Tarun K
Stability of Clindamycin Hydrochloride in PCCA Base SuspendIt
Int J Pharm Compound 2016 ; 20, 5 : 421-425.

  Mentions Légales