Posledná aktualizácia :
27/01/2026
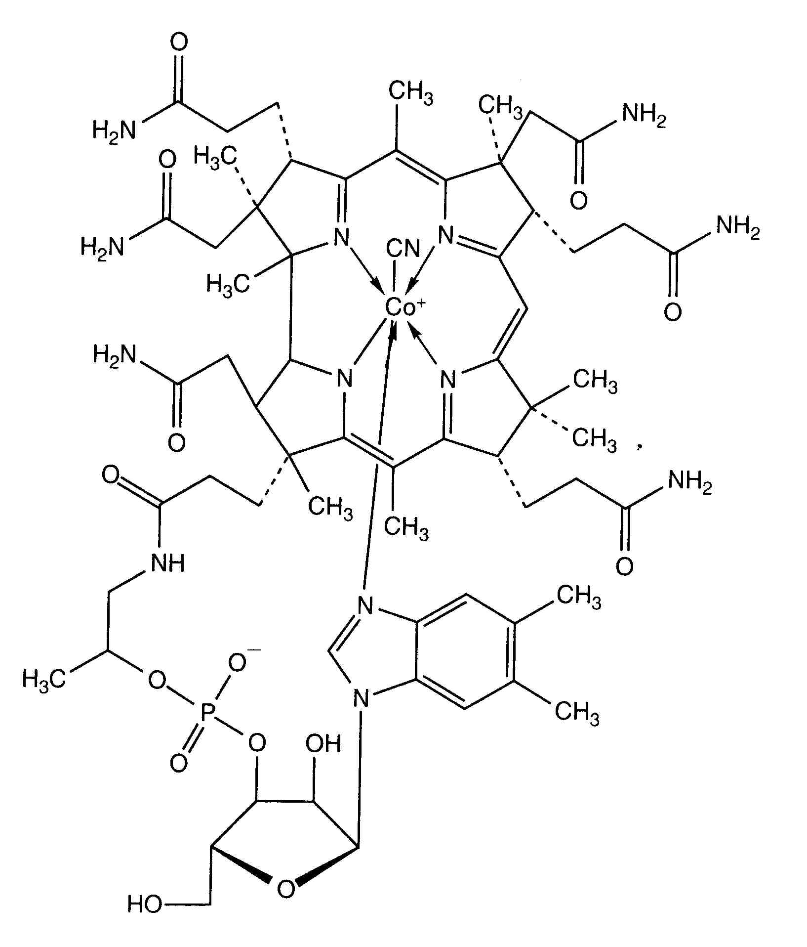
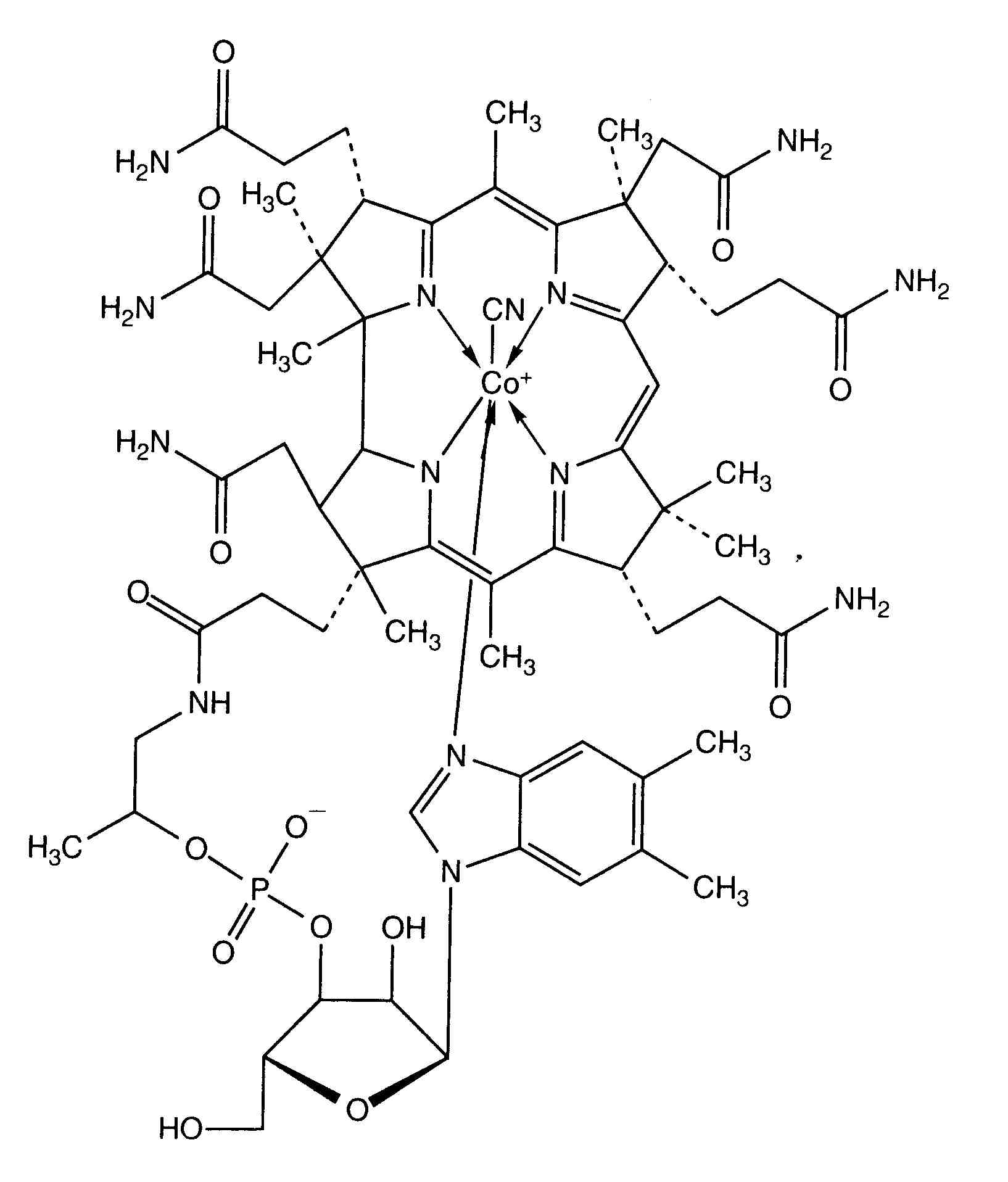
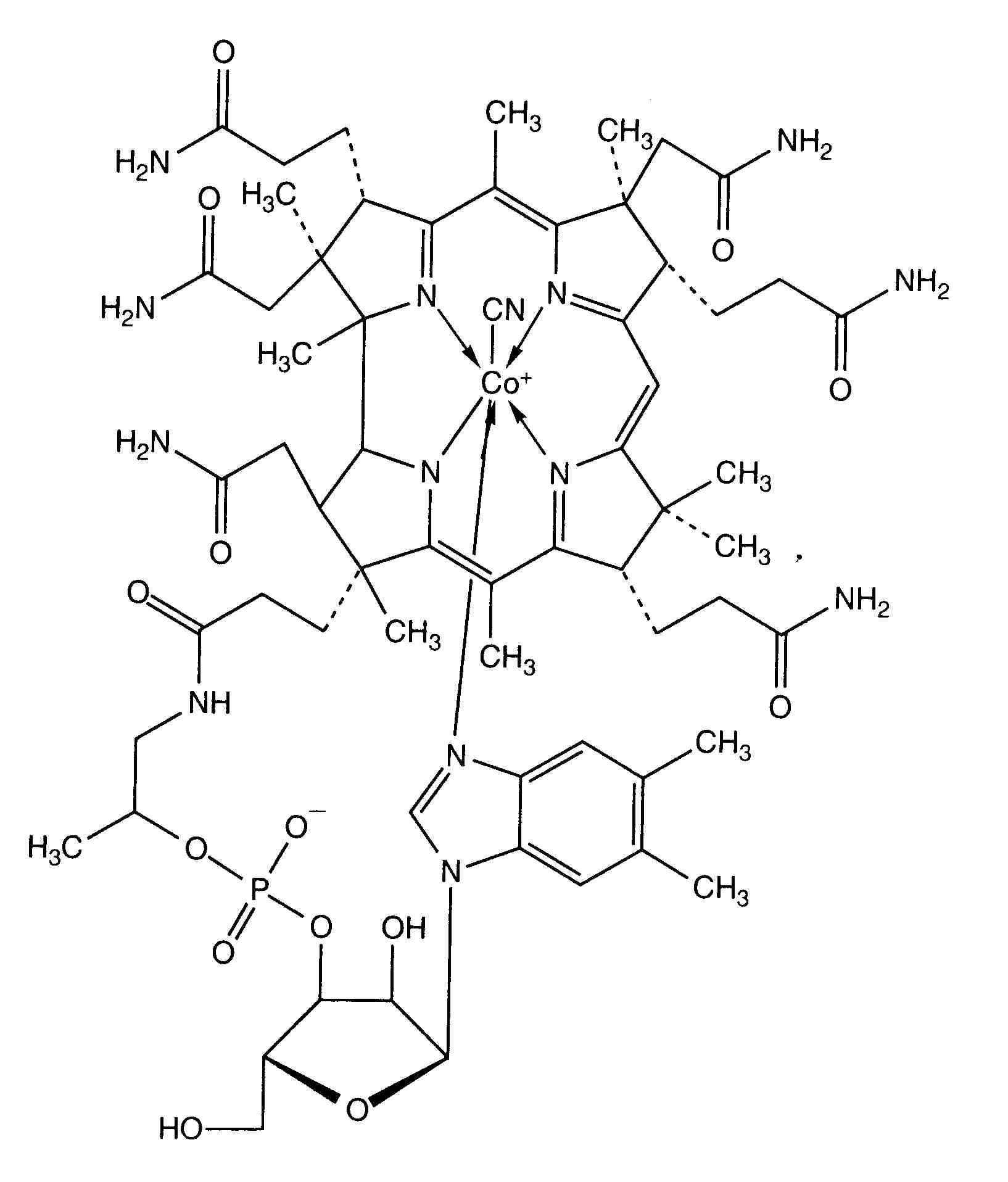
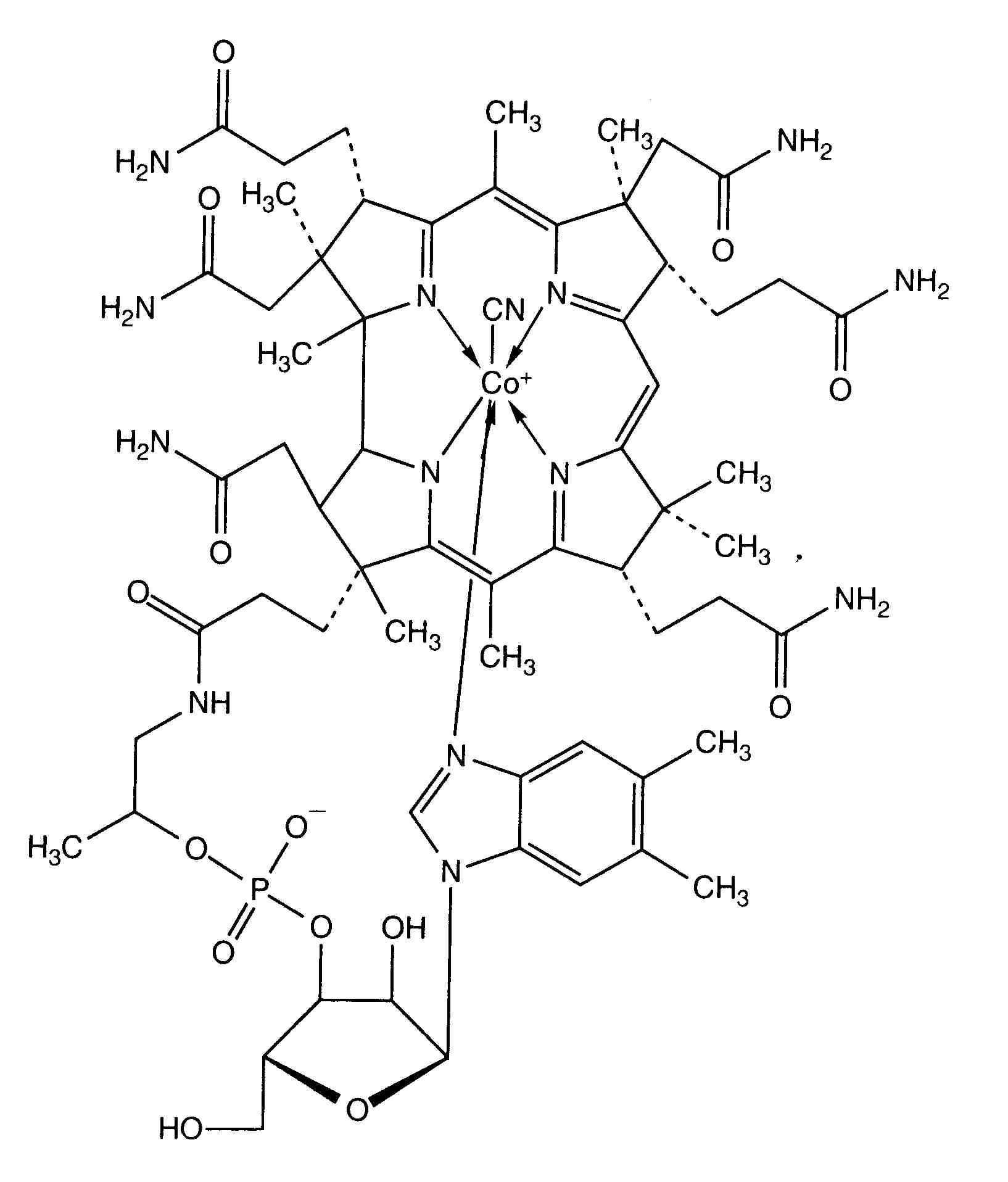
vitamín   Cyanocobalamine  
Injekcia
Stabilita roztokov Stabilita v zmesiach Faktory ovplyvňujúce stabilitu Kompatibility spôsob podania Odkazy na literatúru PDF
   Chemický vzorec  

Obchodný názov   Obchodný názov     

Obchodné názvy sú orientačné, a zloženie pomocných látok sa môže líšiť v závislosti od krajiny a výrobcu.

Ambe 12 Nemecko
Ambene B Nemecko
B12 Ankermann Nemecko
B12 Asmedic Nemecko
B12 for injection Kanada, Nemecko
B12 Vicotrat Nemecko
Beto 12 Egypt
Betolvex Dánsko, Egypt, Fínsko, Nórsko, Saudská Arábia, Spojené arabské emiráty, Švajčiarsko, Švédsko
Bitavion Irán
Cianocobalamina Čile, Ekvádor, Kolumbia, Venezuela
Cidulvex Egypt
Citon India
Cobal Malajzia
Cobex Kanada
Cozamon Venezuela
Cromatonbic B12 Španielsko
Cyanocobalamin Egypt, Malajzia, nový Zéland, Spojené štáty Americké
Cyanocobalamine Francúzsko, Malajzia
Cyanvit Irán
Cynovit Saudská Arábia, Spojené arabské emiráty
Cytamen Austrália, Írsko, Veľká Británia
Cytobion Nemecko, Saudská Arábia
Dobetin Taliansko
Dodex Turecko
Droxofor Venezuela
Duradoce Mexiko
Emicobal Egypt
Hamo Vilobex Nemecko
Hidro Doce 5000 Venezuela
Ibedox Venezuela
L Vit 12 India
Lifaton B12 Španielsko
Lophakomp B12 Nemecko
Optovite B12 Španielsko
Osve Vitamin B12 Irán
Permadoze Portugalsko
Reedvit Argentína
Reiculoger Ekvádor, Španielsko
Rowo Vitamin B12 Nemecko
Rubivamin Egypt, Spojené štáty Americké
Vibalmin Irán
Vicapan Nemecko
Viplex B12 Turecko
Vitakobal Turecko
Vitamina B12 Belgicko, Ekvádor, Irán, Kanada, Kolumbia, Malajzia, Maroko, Nemecko, Nórsko, Rakúsko, Rumunsko, Spojené arabské emiráty, Švajčiarsko, Tunisko, Venezuela
Vitaminum B12 Poľsko
Vitarubine Švajčiarsko
Stabilita roztokov   Injekcia   Stabilita roztokov : Cyanocobalamine     
žiadne údaje

  Mentions Légales