最新更新 :
27/01/2026
ビタミン   Cyanocobalamine  
注射薬
溶媒内の安定性 混合時の安定性 安定性に影響する因子 互換性 投与経路 引用文献 PDF
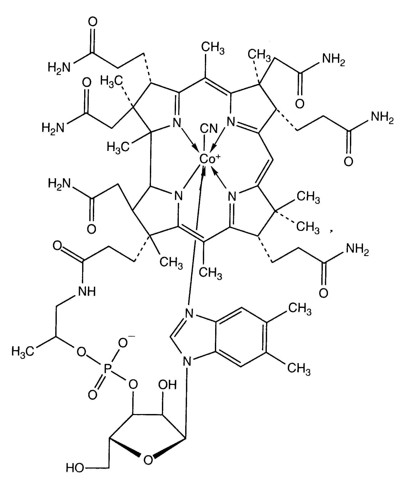
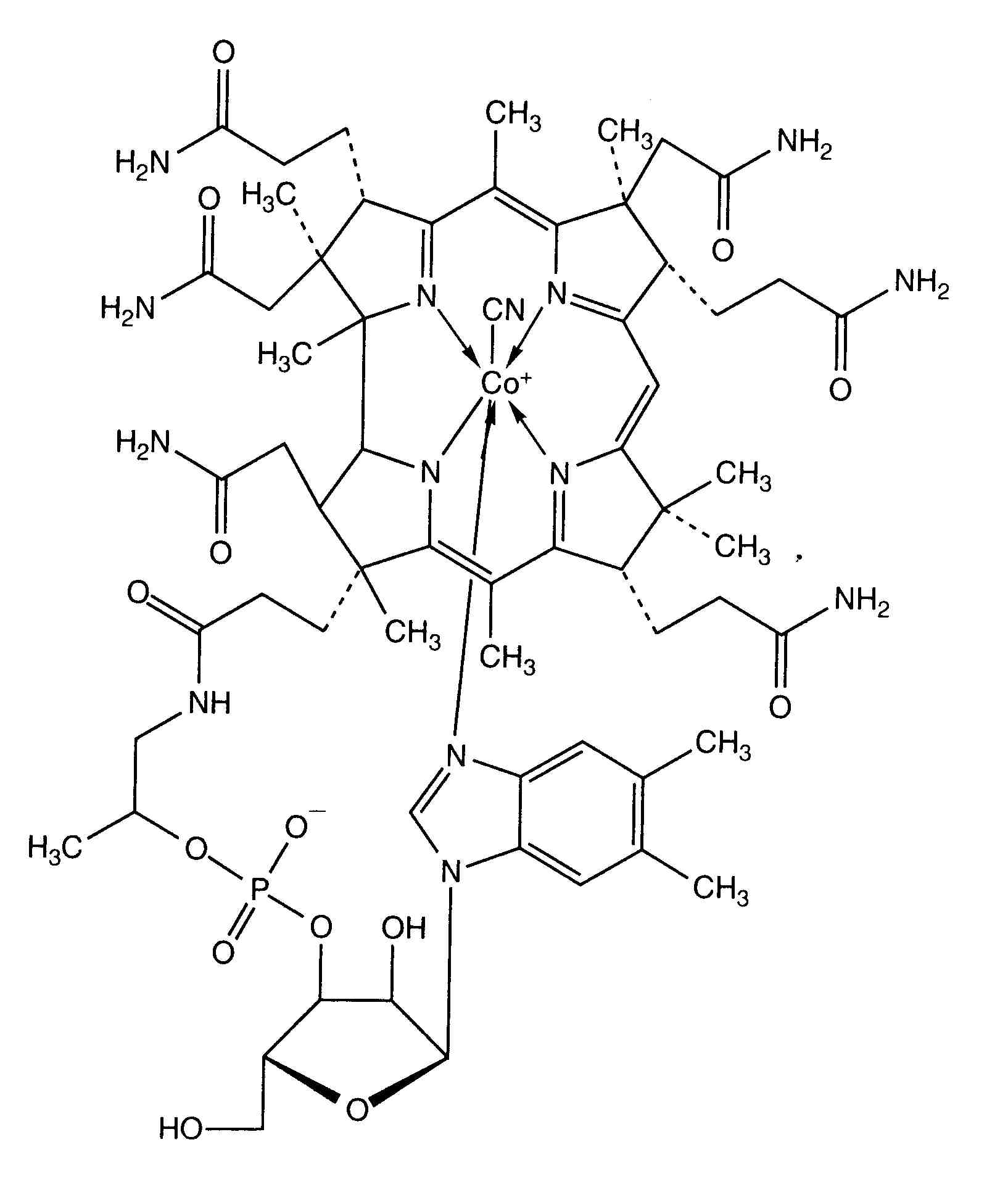
   化学構造  

商品名   商品名     

商品名、賦形剤は国、製薬会社ごとに異なることがあります

Ambe 12 ドイツ
Ambene B ドイツ
B12 Ankermann ドイツ
B12 Asmedic ドイツ
B12 for injection カナダ, ドイツ
B12 Vicotrat ドイツ
Beto 12 エジプト
Betolvex アラブ首長国連邦, エジプト, サウジアラビア, スイス, スウェーデン, デンマーク, ノルウェー, フィンランド
Bitavion イラン
Cianocobalamina エクアドル, コロンビア, チリ, ベネズエラ
Cidulvex エジプト
Citon インド
Cobal マレーシア
Cobex カナダ
Cozamon ベネズエラ
Cromatonbic B12 スペイン
Cyanocobalamin アメリカ, エジプト, ニュージーランド, マレーシア
Cyanocobalamine フランス, マレーシア
Cyanvit イラン
Cynovit アラブ首長国連邦, サウジアラビア
Cytamen アイルランド, アーストラリア, イギリス
Cytobion サウジアラビア, ドイツ
Dobetin イタリア
Dodex トルコ
Droxofor ベネズエラ
Duradoce メキシコ
Emicobal エジプト
Hamo Vilobex ドイツ
Hidro Doce 5000 ベネズエラ
Ibedox ベネズエラ
L Vit 12 インド
Lifaton B12 スペイン
Lophakomp B12 ドイツ
Optovite B12 スペイン
Osve Vitamin B12 イラン
Permadoze ポルトガル
Reedvit アルゼンチン
Reiculoger エクアドル, スペイン
Rowo Vitamin B12 ドイツ
Rubivamin アメリカ, エジプト
Vibalmin イラン
Vicapan ドイツ
Viplex B12 トルコ
Vitakobal トルコ
Vitamina B12 アラブ首長国連邦, イラン, エクアドル, オーストリア, カナダ, コロンビア, スイス, チュニジア, ドイツ, ノルウェー, ベネズエラ, ベルギー, マレーシア, モロッコ, ルーマニア
Vitaminum B12 ポーランド
Vitarubine スイス
溶媒内の安定性   注射薬   溶媒内の安定性 : Cyanocobalamine     
データなし

  Mentions Légales