Ultimo aggiornamento :
18/03/2026
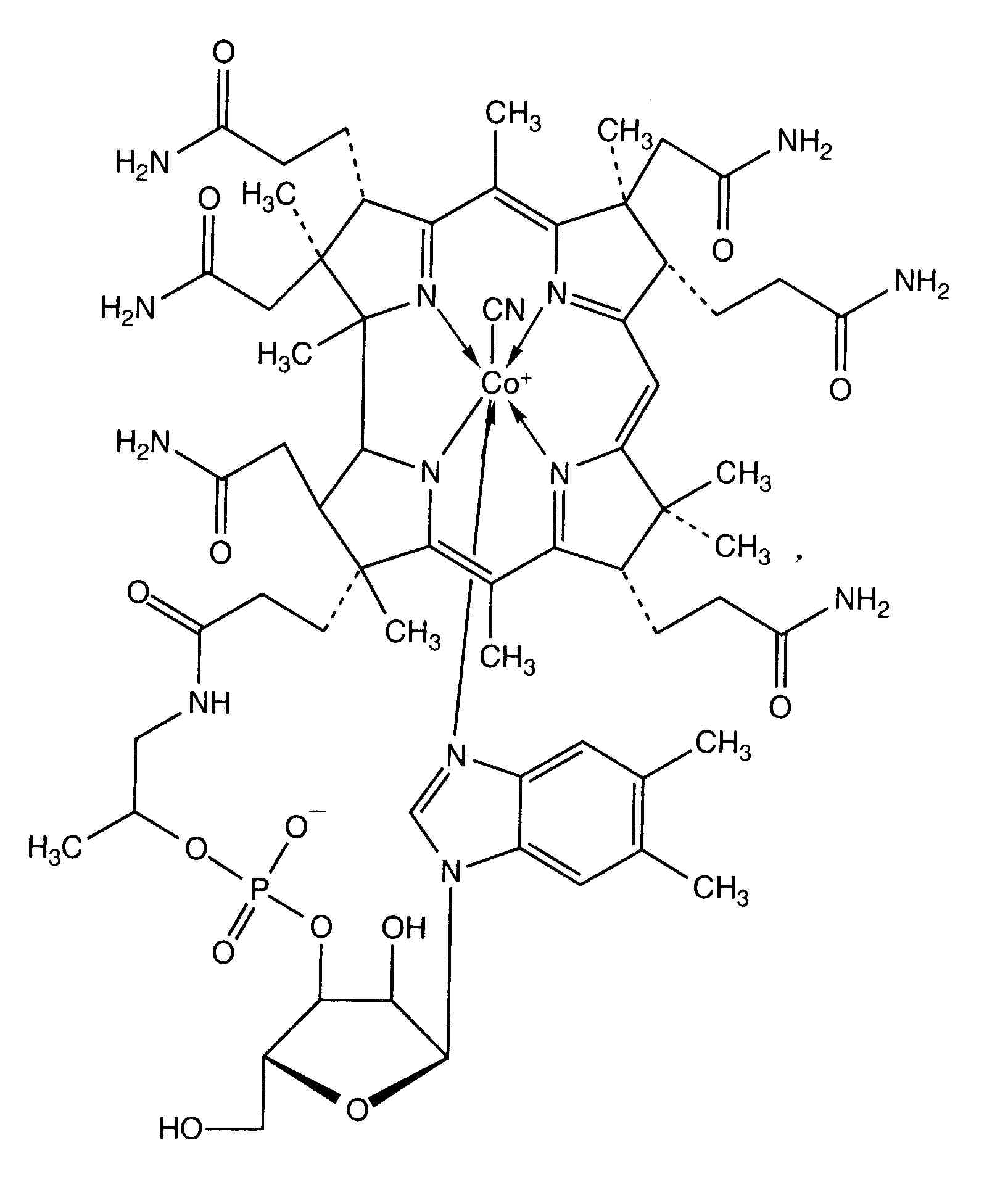
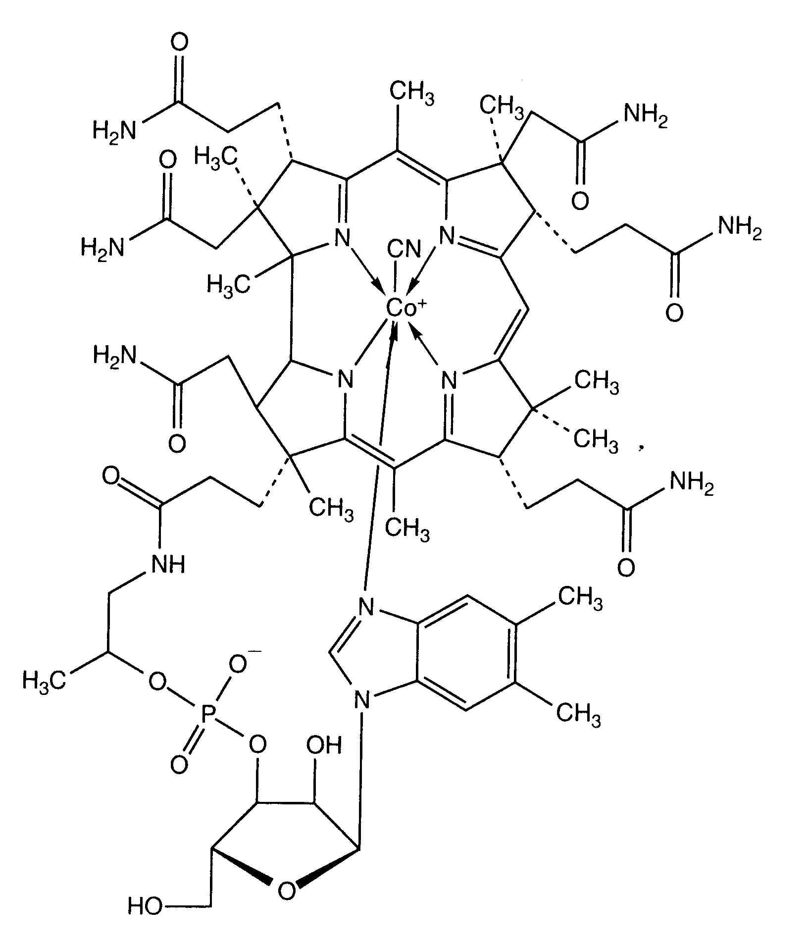
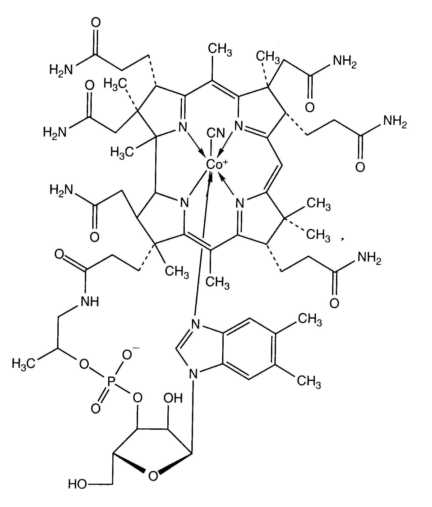
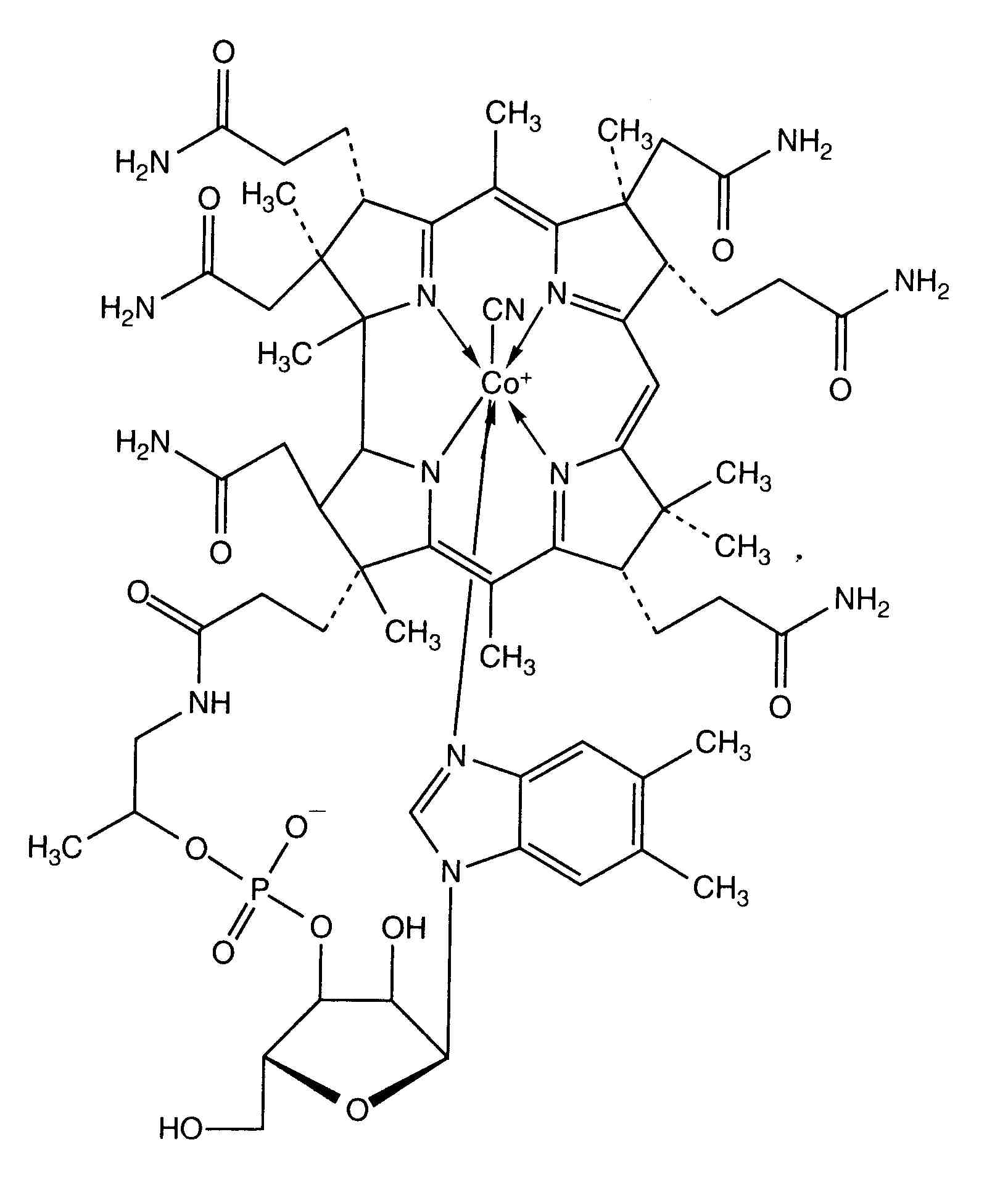
Vitamina   Cyanocobalamine  
Iniezione
Stabilità in soluzione Stabilità in miscela Fattori che influenzano la stabilità Compatibilità metodo di iniezione Bibliografia pdf
   Struttura chimica  

Nome commerciale   Nome commerciale     

Trade names are indicative and excipients composition can be different depending on the country and manufacturers

Ambe 12 Germania
Ambene B Germania
B12 Ankermann Germania
B12 Asmedic Germania
B12 for injection Canada, Germania
B12 Vicotrat Germania
Beto 12 Egitto
Betolvex Arabia Saudita, Danimarca, Egitto, Emirati Arabi Uniti, Finlandia, Norvegia, Svezia, Svizzera
Bitavion Iran
Cianocobalamina Chile, Colombia, Ecuador, Venezuela
Cidulvex Egitto
Citon India
Cobal Malaysia
Cobex Canada
Cozamon Venezuela
Cromatonbic B12 Spagna
Cyanocobalamin Egitto, Malaysia, nuova Zelanda, Stati Uniti d’America
Cyanocobalamine Francia, Malaysia
Cyanvit Iran
Cynovit Arabia Saudita, Emirati Arabi Uniti
Cytamen Australia, Gran Bretagna, Irlanda
Cytobion Arabia Saudita, Germania
Dobetin Italia
Dodex Turchia
Droxofor Venezuela
Duradoce Messico
Emicobal Egitto
Hamo Vilobex Germania
Hidro Doce 5000 Venezuela
Ibedox Venezuela
L Vit 12 India
Lifaton B12 Spagna
Lophakomp B12 Germania
Optovite B12 Spagna
Osve Vitamin B12 Iran
Permadoze Portogallo
Reedvit Argentina
Reiculoger Ecuador, Spagna
Rowo Vitamin B12 Germania
Rubivamin Egitto, Stati Uniti d’America
Vibalmin Iran
Vicapan Germania
Viplex B12 Turchia
Vitakobal Turchia
Vitamina B12 Austria, Belgio, Canada, Colombia, Ecuador, Emirati Arabi Uniti, Germania, Iran, Malaysia, Marocco, Norvegia, Romania, Svizzera, Tunisia, Venezuela
Vitaminum B12 Polonia
Vitarubine Svizzera
Stabilità in soluzione   Iniezione   Stabilità in soluzione : Cyanocobalamine     
Assenza di dati

  Mentions Légales