Senaste uppdateringen :
27/04/2026
Infostab
Förteckning över substanser
Sammanfattande listor
Sök efter kompatibilitet
Kompatibilitetstabell
Hänvisningar
forskargrupper
valistab
Posters
Anslutningar
sponsorer
Författare
Användaranvisning
Nyhetsbladet
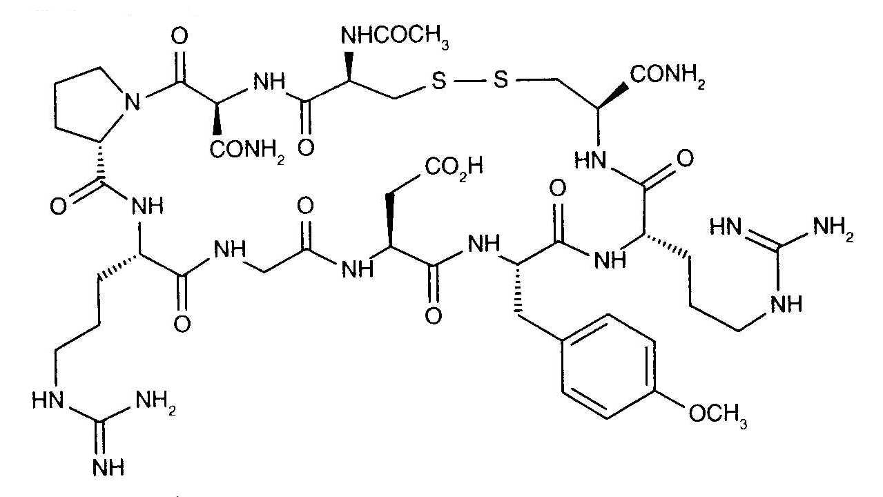
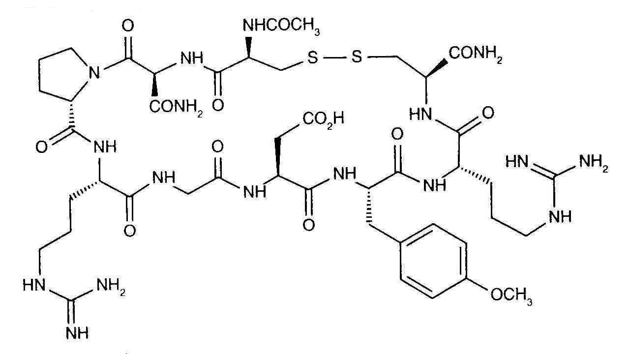
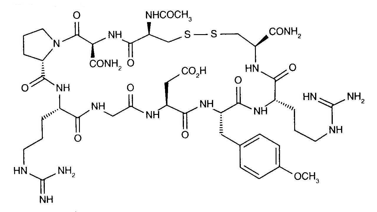
N-acetylcysteine
Molekylstruktur
Hänvisningar : N-acetylcysteine
Typ
Publikation
549
tidningen
Owsley HD, Rusho WJ.
Compatibility of common respiratory therapy drug combinations.
Int J Pharm Compound 1997 ; 1: 121-122.
2648
tidningen
Rieutord A, Arnaud P, Dauphin JF, Brion F.
Stability and compatibility of an aerosol mixture including N-acetylcysteine, netilmicin and betamethasone
Int J Pharm 1999 ; 190, 1: 103-107.
2787
tidningen
Lee TY, Chen CM, Lee CN, Chaing YC.
Compatibility and osmolality of inhaled N-acetylcysteine nebulizing solution with fenoterol and ipratropium.
Am J Health-Syst Pharm 2005 ; 62, 8: 828-833.
2803
tidningen
Bonasia PJ, McVicar WK, Williams B, Ong S.
Chemical and physical compatibility of levalbuterol inhalation solution concentrate mixed with budesonide, ipratropium bromide, cromolyn sodium or acetylcysteine sodium.
Respiratory Care 2008 ; 683, 12: 1716-1722.
3019
tidningen
Bonasia P, Cook C, Cheng Y et al.
Compatibility of arformoterol tartrate inhalation solution with three nebulized drugs.
Curr Med Res Opin 2007 ; 23: 2477-2483.
3498
tidningen
Akapo S, Gupta J, martinez E, Mccrea C, Ye L, Roach M
Compatibility and aerosol characteristics of formoterol fumarate mixed with other nebulizing solutions.
Ann Pharmacotherapy 2008 ; 42, 10: 1416-1424.
Mentions Légales