Pēdējā atjaunošana :
27/04/2026
Dažādi   N-acetylcysteine  
Aerosols
Acu pilieni Injekcija Orāls šķīdums
Stabilitāte farmaceitisko preparātu Maisījuma stabilitāte Stabilitāti ietekmējoši faktori Saderība Literatūras saraksts pdf
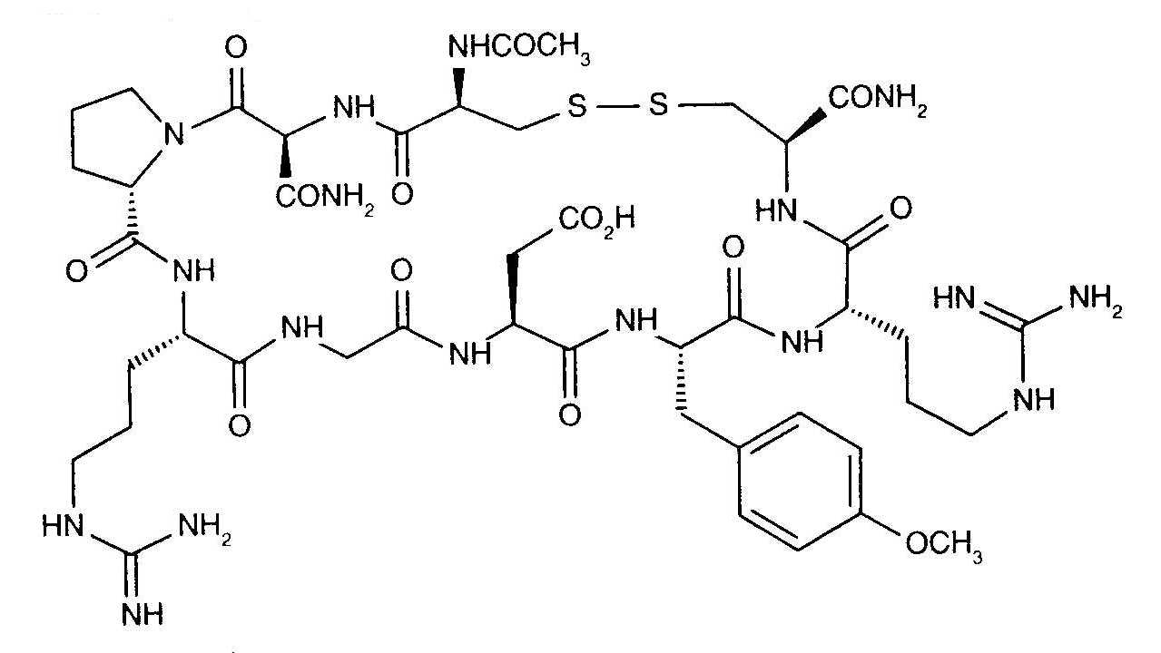
   Ķīmiskā uzbūve   

Aerosols
Literatūras saraksts   Aerosols   Literatūras saraksts : N-acetylcysteine  
tips publicēšana
549 Žurnāls Owsley HD, Rusho WJ.
Compatibility of common respiratory therapy drug combinations.
Int J Pharm Compound 1997 ; 1: 121-122.
2648 Žurnāls Rieutord A, Arnaud P, Dauphin JF, Brion F.
Stability and compatibility of an aerosol mixture including N-acetylcysteine, netilmicin and betamethasone
Int J Pharm 1999 ; 190, 1: 103-107.
2787 Žurnāls Lee TY, Chen CM, Lee CN, Chaing YC.
Compatibility and osmolality of inhaled N-acetylcysteine nebulizing solution with fenoterol and ipratropium.
Am J Health-Syst Pharm 2005 ; 62, 8: 828-833.
2803 Žurnāls Bonasia PJ, McVicar WK, Williams B, Ong S.
Chemical and physical compatibility of levalbuterol inhalation solution concentrate mixed with budesonide, ipratropium bromide, cromolyn sodium or acetylcysteine sodium.
Respiratory Care 2008 ; 683, 12: 1716-1722.
3019 Žurnāls Bonasia P, Cook C, Cheng Y et al.
Compatibility of arformoterol tartrate inhalation solution with three nebulized drugs.
Curr Med Res Opin 2007 ; 23: 2477-2483.
3498 Žurnāls Akapo S, Gupta J, martinez E, Mccrea C, Ye L, Roach M
Compatibility and aerosol characteristics of formoterol fumarate mixed with other nebulizing solutions.
Ann Pharmacotherapy 2008 ; 42, 10: 1416-1424.

  Mentions Légales