Seneste opdatering :
27/01/2026
Infostab
Lister
Bversigter
Søg efter kompatibilitet
Y-site kompatibilitetstabel
Bibliografi
forskerhold
valistab
Poster
Links
sponsorer
Forfatter
Brugervejledning
Nyhedsbrev
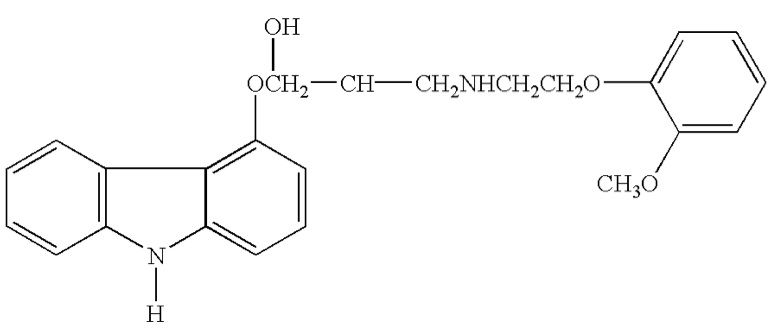
Carvedilol
Kemisk struktur
Bibliografi : Carvedilol
Type
offentliggørelse
2931
Journal
Yamreudeewong W, Dolence EK, Pahl D.
Stability of two extemporaneously prepared oral metoprolol and carvedilol liquids.
Hosp Pharm 2006 ; 41: 254-259.
3167
Journal
Buontempo F, Bernabeu E, Glisoni RJ, Quiroga E, Bregni C, Chiappetta DA.
Carvedilol stability in paediatric oral liquid formulations.
Farm Hosp 2010 ;34:293-7.
3910
Journal
Polonini H.C, Silva S .L, de Almeida T.R, Brand?o M.A, Ferreira A.O.
Compatibility of caffeine, carvedilol, clomipramine hydrochloride, folic acid, hydrochlorothiazide, loperamide hydrochloride, methotrexate, nadolol, naltrexone hydrochloride and pentoxifylline in SyrSpend SF PH4 oral suspensions.
EJHP 2016 ; 23: 352-358.
4177
Journal
Polonini H, Loures da Silva S, Fernandes Brandao M.A, Bauters T, De Moerloose B, De Oliveira Ferreira A.
Compatibility of Baclofen, Carvedilol, Hydrochlorothiazide, Mercaptopurine, Methadone Hydrochloride, Oseltamivir Phosphate, Phenobarbital, Propranolol Hydrochloride, Pyrazinamide, Sotalol Hydrochloride, Spironolactone, Tacrolimus Monohydrate, Ursodeoxycholic Acid, and Vancomycin Hydrochloride Oral Suspensions Compounded with SyrSpend SF PH4.
Int J Pharm Compound 2018 ;22,6:516-526
Mentions Légales