Poslední aktualizace :
27/01/2026
Infostab
Seznamy
Seznamy shrnutí
Hledat kompatibility
Tabulka kompatibility správy Y
Odkazy
výzkumné týmy
valistab
plakát
Připojení
sponzoři
Autor
Uživatelská příručka
Newsletter
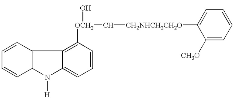
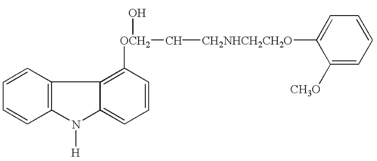
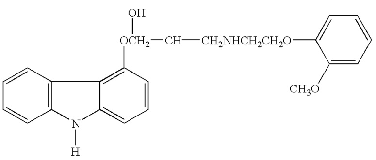
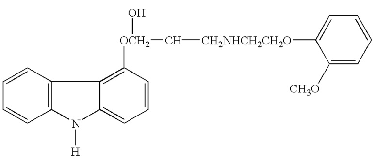
Carvedilol
Chemický vzorec
Odkazy : Carvedilol
typ
uveřejnění
2931
noviny
Yamreudeewong W, Dolence EK, Pahl D.
Stability of two extemporaneously prepared oral metoprolol and carvedilol liquids.
Hosp Pharm 2006 ; 41: 254-259.
3167
noviny
Buontempo F, Bernabeu E, Glisoni RJ, Quiroga E, Bregni C, Chiappetta DA.
Carvedilol stability in paediatric oral liquid formulations.
Farm Hosp 2010 ;34:293-7.
3910
noviny
Polonini H.C, Silva S .L, de Almeida T.R, Brand?o M.A, Ferreira A.O.
Compatibility of caffeine, carvedilol, clomipramine hydrochloride, folic acid, hydrochlorothiazide, loperamide hydrochloride, methotrexate, nadolol, naltrexone hydrochloride and pentoxifylline in SyrSpend SF PH4 oral suspensions.
EJHP 2016 ; 23: 352-358.
4177
noviny
Polonini H, Loures da Silva S, Fernandes Brandao M.A, Bauters T, De Moerloose B, De Oliveira Ferreira A.
Compatibility of Baclofen, Carvedilol, Hydrochlorothiazide, Mercaptopurine, Methadone Hydrochloride, Oseltamivir Phosphate, Phenobarbital, Propranolol Hydrochloride, Pyrazinamide, Sotalol Hydrochloride, Spironolactone, Tacrolimus Monohydrate, Ursodeoxycholic Acid, and Vancomycin Hydrochloride Oral Suspensions Compounded with SyrSpend SF PH4.
Int J Pharm Compound 2018 ;22,6:516-526
Mentions Légales