最新更新 :
21/01/2026
Infostab
薬剤一覧
まとめ一覧
互換性の検索
Yサイト対応表
引用文献
研究チーム
valistab
ポスター
接続
スポンサー
作成者
ユーザーガイド
ニュースレター
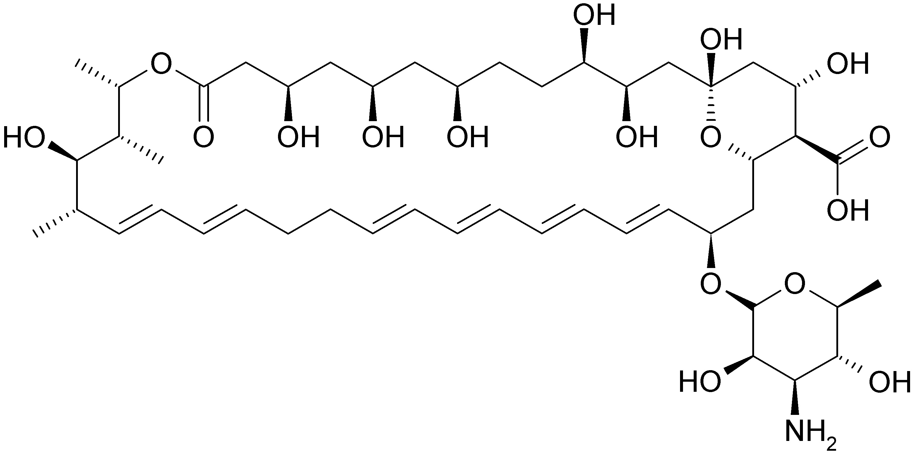
Nystatin
化学構造
調剤時の安定性 : Nystatin
2.29 MUI
Mycostatine®
重炭酸ナトリウム
1.4% >> 500 ml
19-23°C
4
2820
2.29 MUI
Mycostatine®
重炭酸ナトリウム
1.4% >> 500 ml
19-23°C
4
2820
2.29 MUI
Mycostatine®
重炭酸ナトリウム
1.4% >> 500 ml
4°C
15
2820
2.4 MUI = 24 ml
Mycostatine®
ヘキセチジン0.1パーセント
75 ml
重炭酸ナトリウム
1.4% >>400 ml
20-25°C
3
2729
Mentions Légales