Last update :
27/04/2026
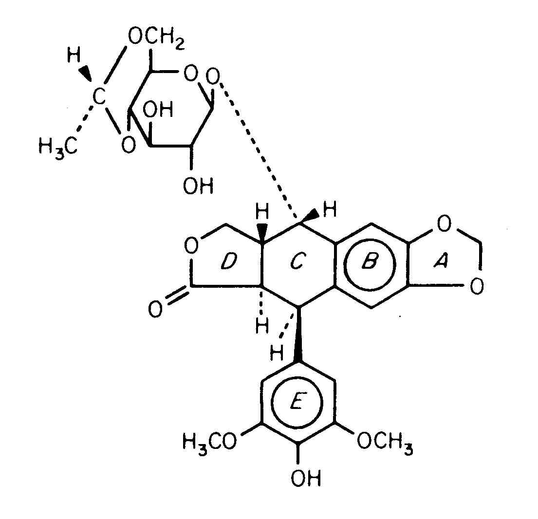
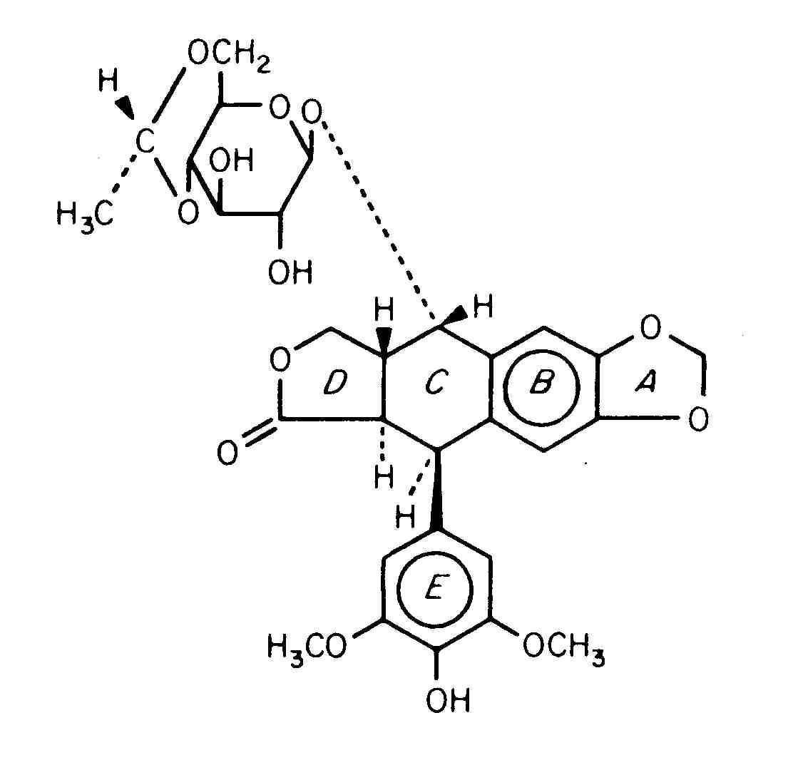
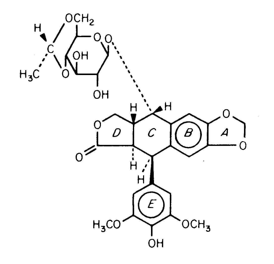
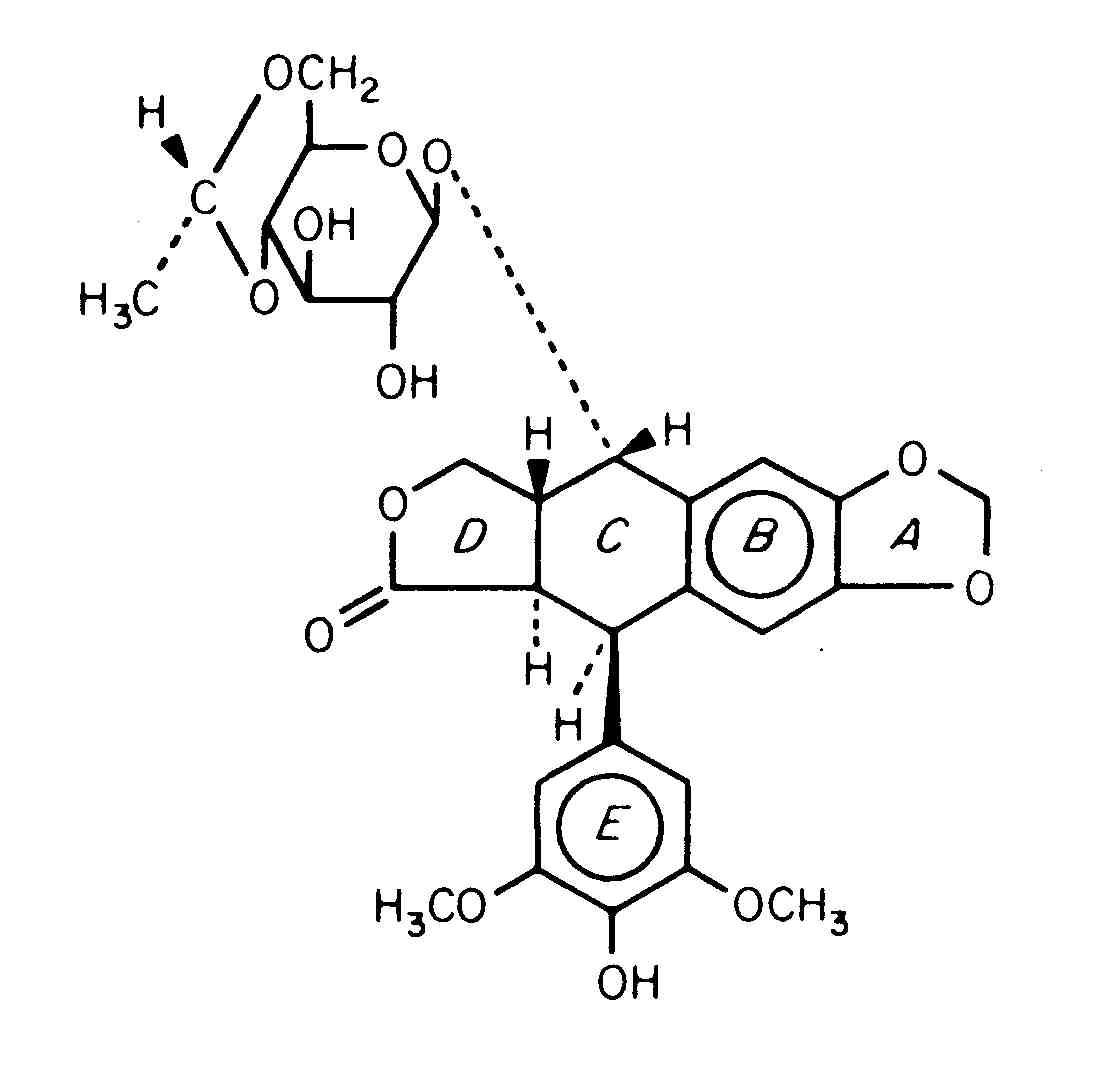
Anticancer drug   Etoposide  
Oral solution
injection
Stability of pharmaceutical preparations Stability of mixtures Factors which affect stability Compatibility References pdf
   Chemical structure  

Oral solution
References   Oral solution   References : Etoposide  
Type Publication
1992 Journal Drouard, VigneronJ, May I.
Traitement par étoposide oral : présentation adaptée à une meilleure observance pédiatrique hospitalière.
J Pharm Clin 1999 ; 18, 3: 251-257.
2482 Journal McLeod HL, Relling MV.
Stability of etoposide solution for oral use
Am J Hosp Pharm 1992 ; 49: 2784-2785.

  Mentions Légales