最新更新 :
27/01/2026
Infostab
药品清单
简要表
搜索兼容性
Y 站点兼容性表
引用文献
研究小組
valistab
海报
鏈接
贊助商
作者
使用指南
时讯
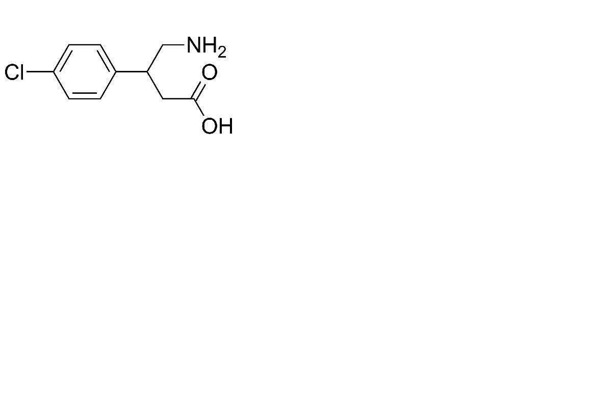
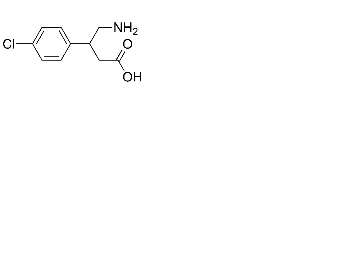
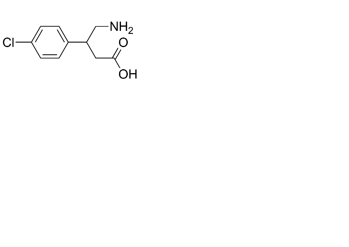
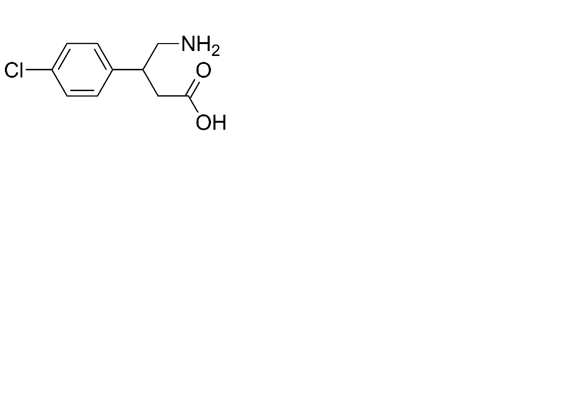
Baclofen
化学式
引用文献 : Baclofen
种类
出版物
2433
文献
Allen LV, Jr, Erickson MA,
Stability of baclofen, captopril, diltiazem hydrochloride, dipyridamole, and flecainide acetate in extemporaneously compounded oral liquids
Am J Health-Syst Pharm 1996 ; 53: 2179-2184.
2478
文献
Johnson CE, Hart SM.
Stability of an extemporaneously compounded baclofen oral liquid
Am J Hosp Pharm 1993 ; 50: 2353-2355.
3999
文献
De Oliveira Ferreira, Polonini H, Loures da Silva S, Buzinari Aglio N.C, Abreu J, Fernandes Brand?o M.A.
Stability of Acetazolamide, Baclofen, Dipyridamole, Mebeverine Hydrochloride, Propylthiouracil, Quinidine Sulfate, and Topiramate Oral Suspensions in SyrSpend SF PH4.
Int J Pharm Compound 2017 ; 21:4 :339-346
4177
文献
Polonini H, Loures da Silva S, Fernandes Brandao M.A, Bauters T, De Moerloose B, De Oliveira Ferreira A.
Compatibility of Baclofen, Carvedilol, Hydrochlorothiazide, Mercaptopurine, Methadone Hydrochloride, Oseltamivir Phosphate, Phenobarbital, Propranolol Hydrochloride, Pyrazinamide, Sotalol Hydrochloride, Spironolactone, Tacrolimus Monohydrate, Ursodeoxycholic Acid, and Vancomycin Hydrochloride Oral Suspensions Compounded with SyrSpend SF PH4.
Int J Pharm Compound 2018 ;22,6:516-526
Mentions Légales