Последнее обновление :
27/01/2026
Антигипертензивное средство   Enalapril maleate  
Раствор для перорального приёма
Стабильность фармацевтических препаратов Стабильность смесей Факторы, которые влияют на стабильность Совместимость Библиография pdf
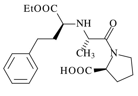
   Химическая структура  

Раствор для перорального приёма
Библиография   Раствор для перорального приёма   Библиография : Enalapril maleate  
тип публикация
2422 Журнал Allen LV, Jr, Erickson MA,
Stability of alprazolam, chloroquine phosphate, cisapride, enalapril maleate, and hydralazine hydrochloride in extemporaneously compounded oral liquids
Am J Health-Syst Pharm 1998 ; 55: 1915-1920.
2425 Журнал Nahata MC, Morosco RS, Hipple TF.
Stability of enalapril maleate in three extemporaneously prepared oral liquids
Am J Health-Syst Pharm 1998 ; 55: 1155-1157.
2561 Журнал Boulton DW, Woods DJ, Fawcett JP.
The stability of an enalapril maleate oral solution prepared from tablets.
Aust J Hosp Pharm 1994 ; 24: 151-156.
3857 Журнал Polonini H.C, Sharlene L, Claudio L,Ferreira A.O,Brand?o M.A.F.
Stability of Atenolol, Clonazepam, Dexamethasone, Diclofenac Sodium, Diltiazem, Enalapril Maleate, Ketoprofen, Lamotrigine, Penicillamine-D, and Thiamine in SyrSpend SF PH4 Oral Suspensions
Int J Pharm Compound 2016 ; 20, 2: 167-174.
3921 Журнал Friciu M, Zaraa S, Leclair G.
Stability of extemporaneously prepared enalapril maleate suspensions in glass bottles and plastic syringes.
Can J Hosp Pharm 2016 ; 69, 6: 505-507.
4097 Журнал Casas M, Alvarez J, Lucero M.
Physicochemical stability of captopril and enalapril extemporaneous formulations for pediatric patients.
Pharm Dev Technol 2013
4905 Журнал Mota S, Torres A, Quintas C, Peres A M, Ferreiro N, Cruz R, Ferreira H, Almeida I F, Casal S.
Characterization of Liquid Dosage Forms of Atenolol and Enalapril Maleate for Oral and Enteral Feeding Administration
Pharmaceuticals 2024 2024, 17,

  Mentions Légales