Senaste uppdateringen :
27/01/2026
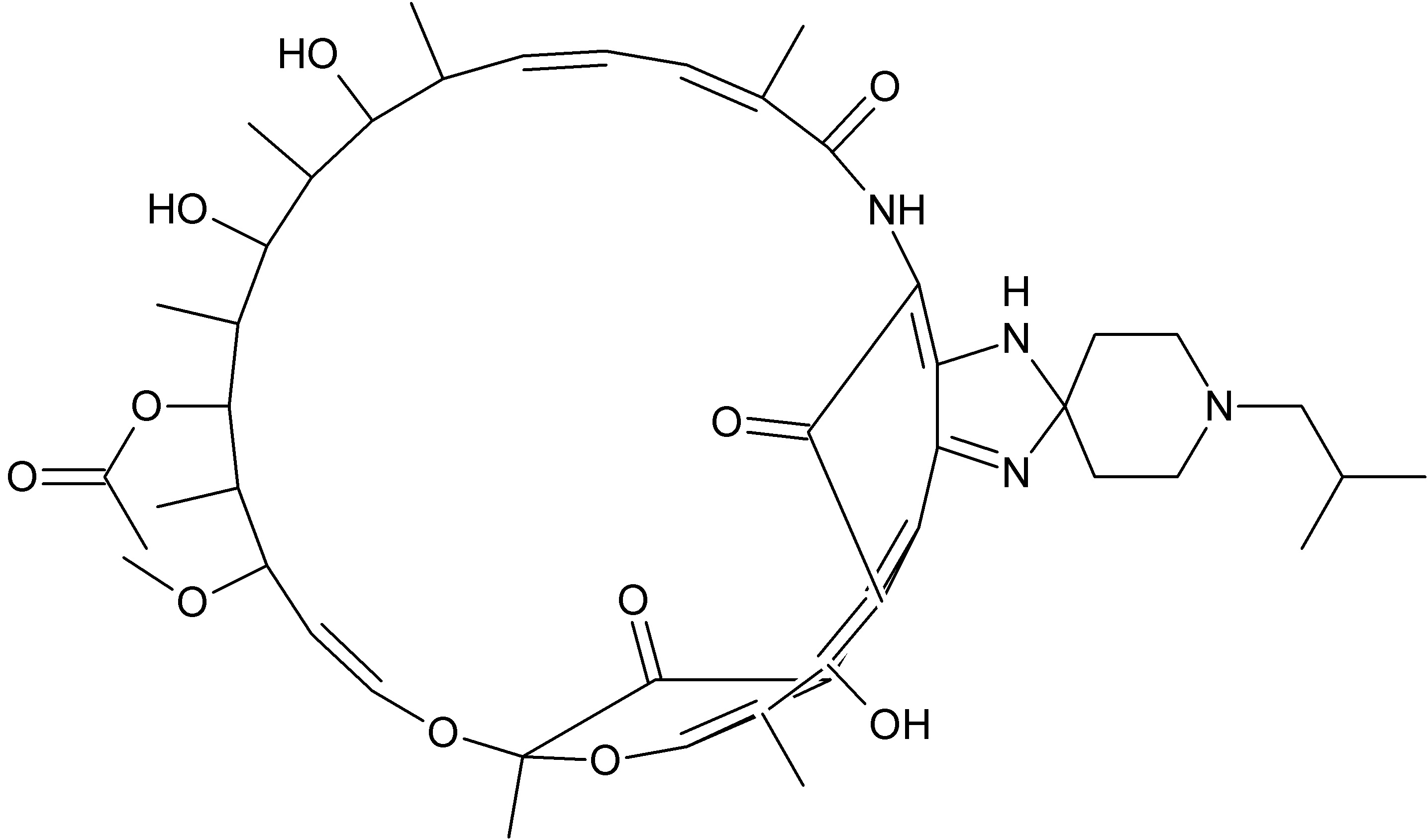
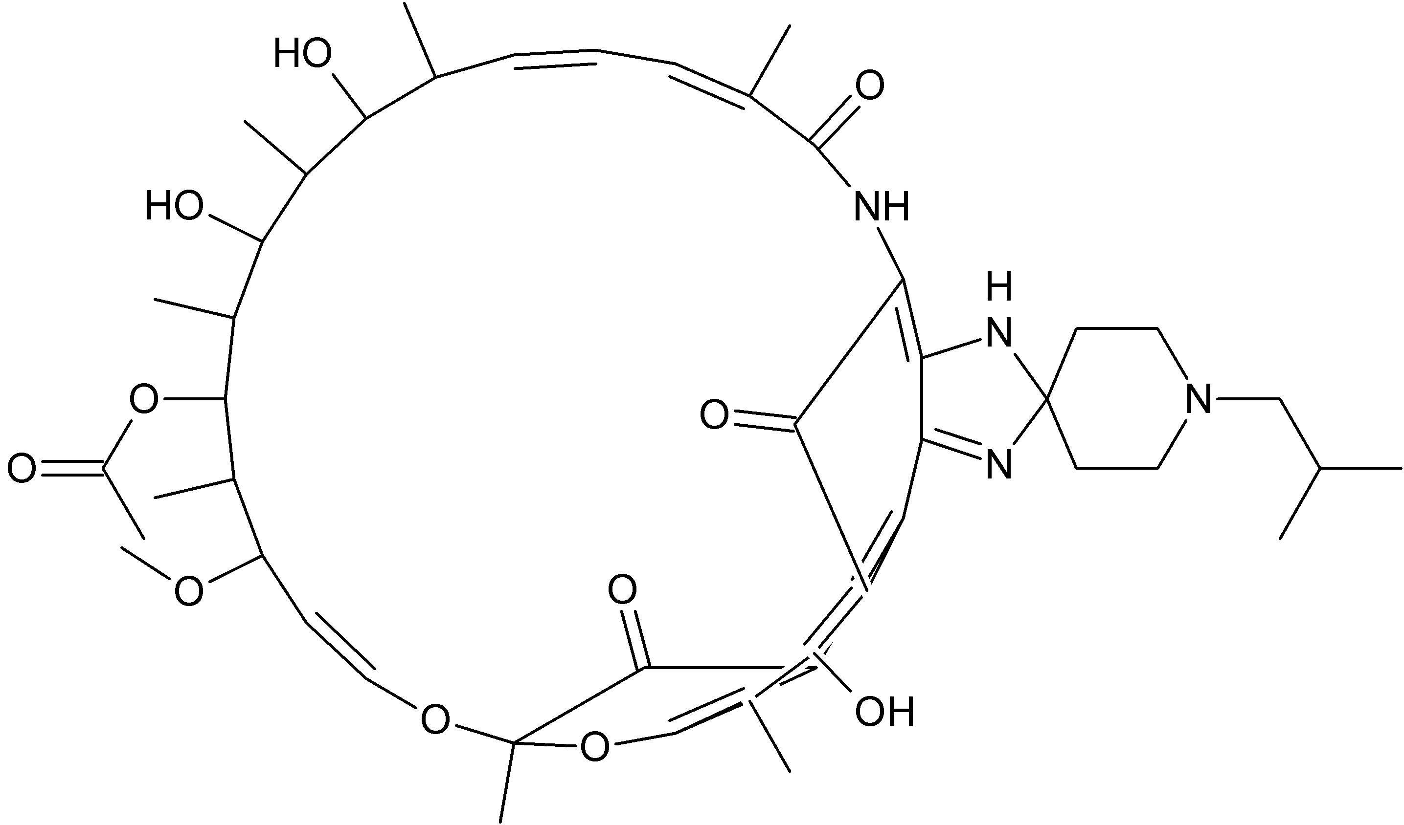
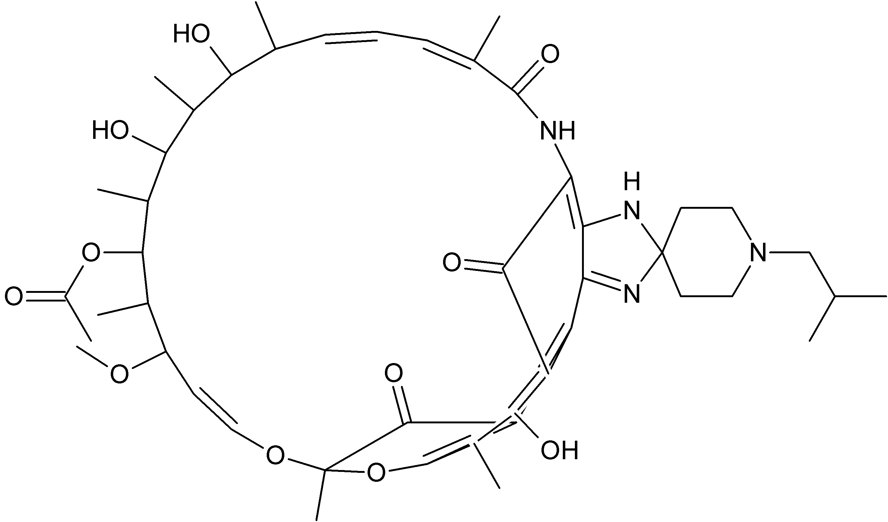
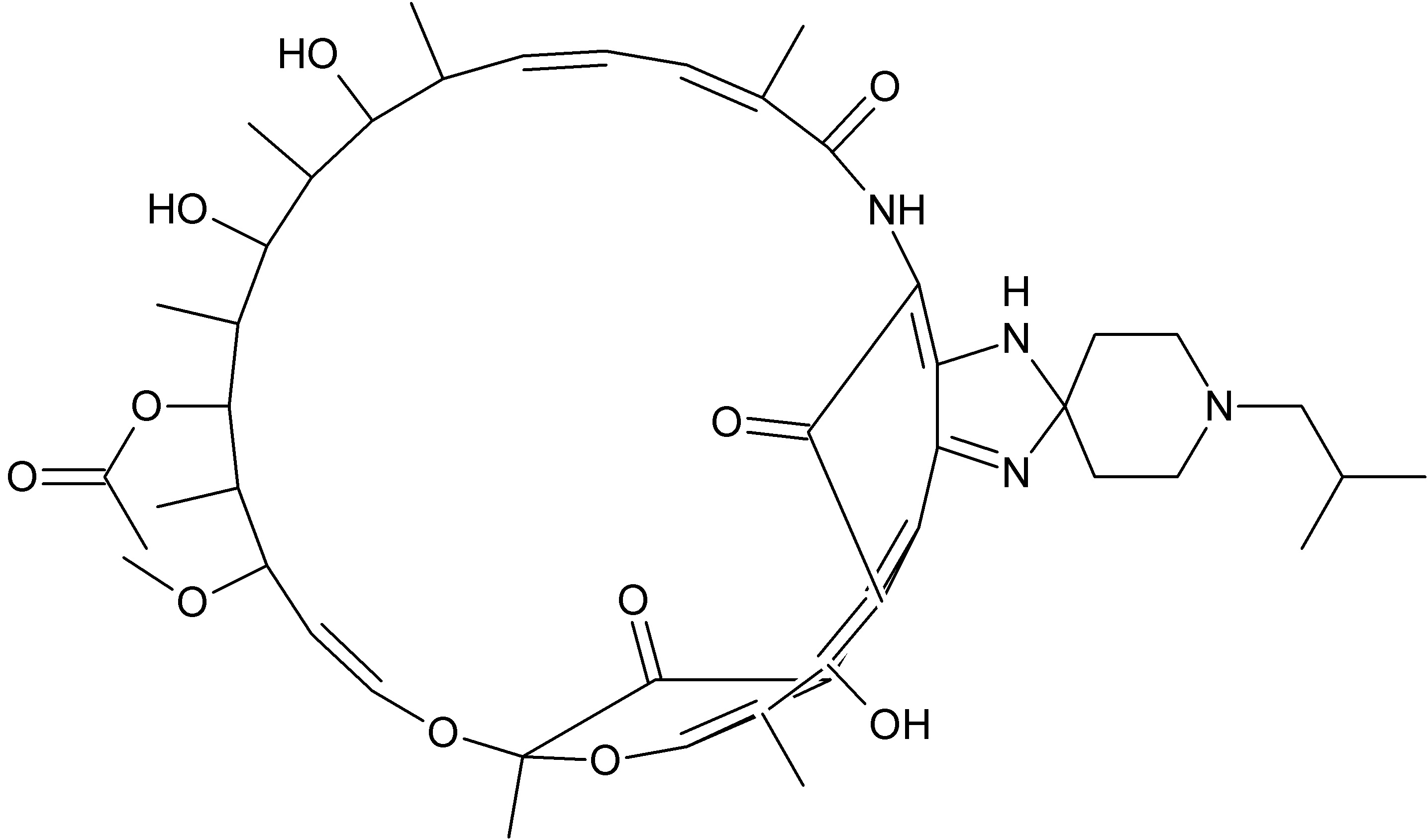
Antibiotikum   Rifabutin  
Oral lösning
Stabilitet av läkemedel Stabilitet i blandningar Faktorer som påverkar stabiliteten Kompatibilitet Hänvisningar pdf
   Molekylstruktur  

Oral lösning

Faktorer som påverkar stabiliteten   Oral lösning   Faktorer som påverkar stabiliteten : Rifabutin        
Ingen uppgift

  Mentions Légales