Ultimo aggiornamento :
27/01/2026
Antibiotico   Rifabutin  
Soluzione orale
Stabilità dei preparati farmaceutici Stabilità in miscela Fattori che influenzano la stabilità Compatibilità Bibliografia pdf
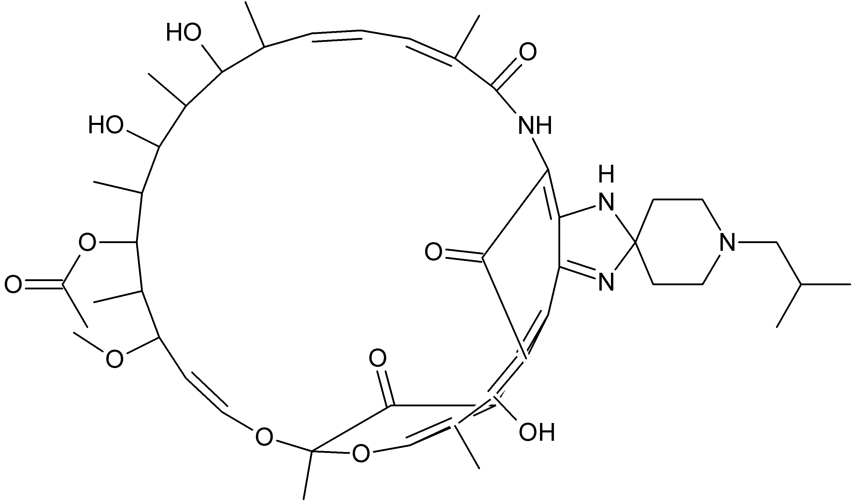
   Struttura chimica  

Soluzione orale

Fattori che influenzano la stabilità   Soluzione orale   Fattori che influenzano la stabilità : Rifabutin        
Assenza di dati

  Mentions Légales