Posledná aktualizácia :
27/04/2026
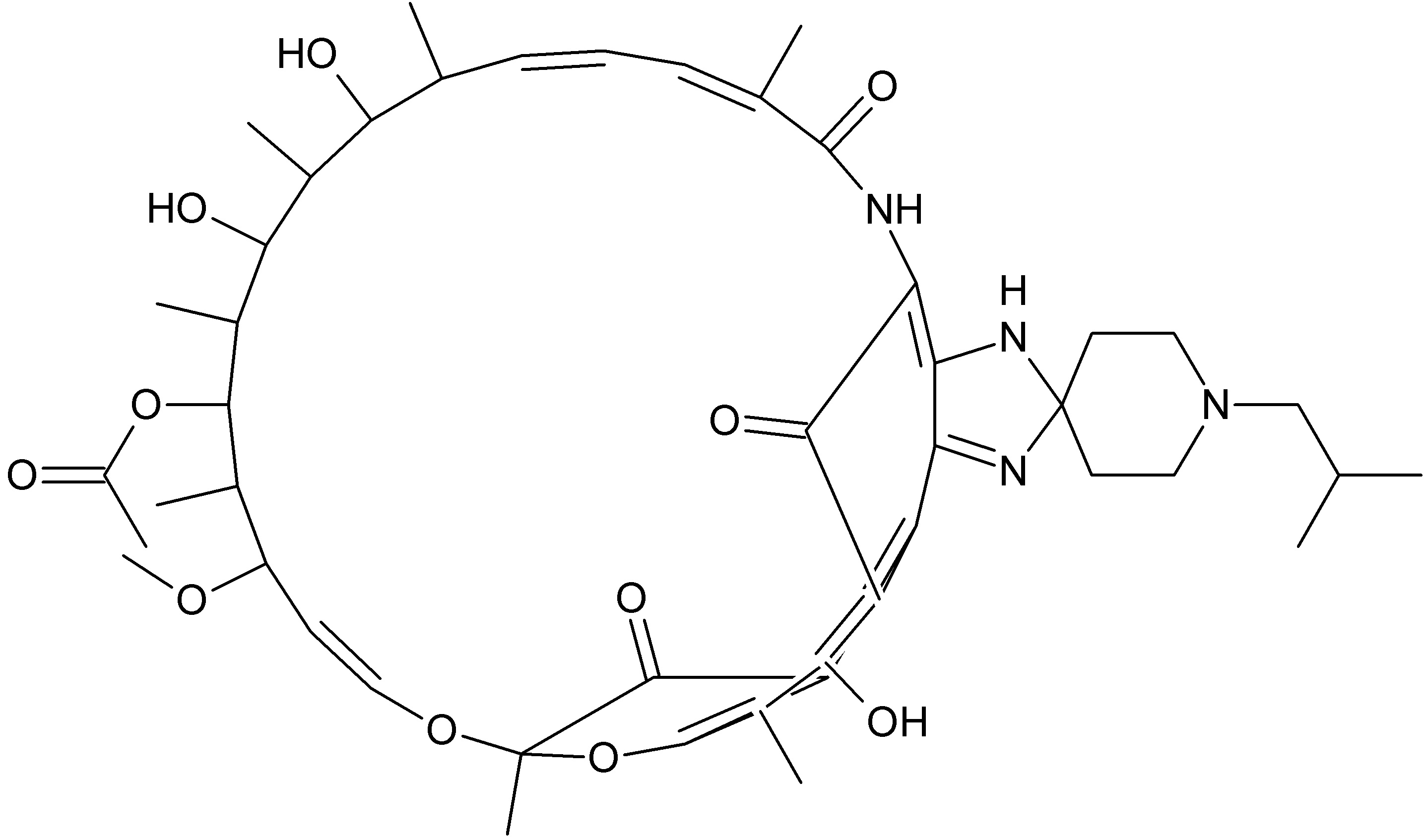
antibiotikum   Rifabutin  
Perorálny roztok
Stabilita farmaceutických prípravkov Stabilita v zmesiach Faktory ovplyvňujúce stabilitu Kompatibility Odkazy na literatúru PDF
   Chemický vzorec  

Perorálny roztok
Kompatibility   Perorálny roztok   Kompatibility : Rifabutin              
žiadne údaje

  Mentions Légales