Ostatnia aktualizacja :
27/04/2026
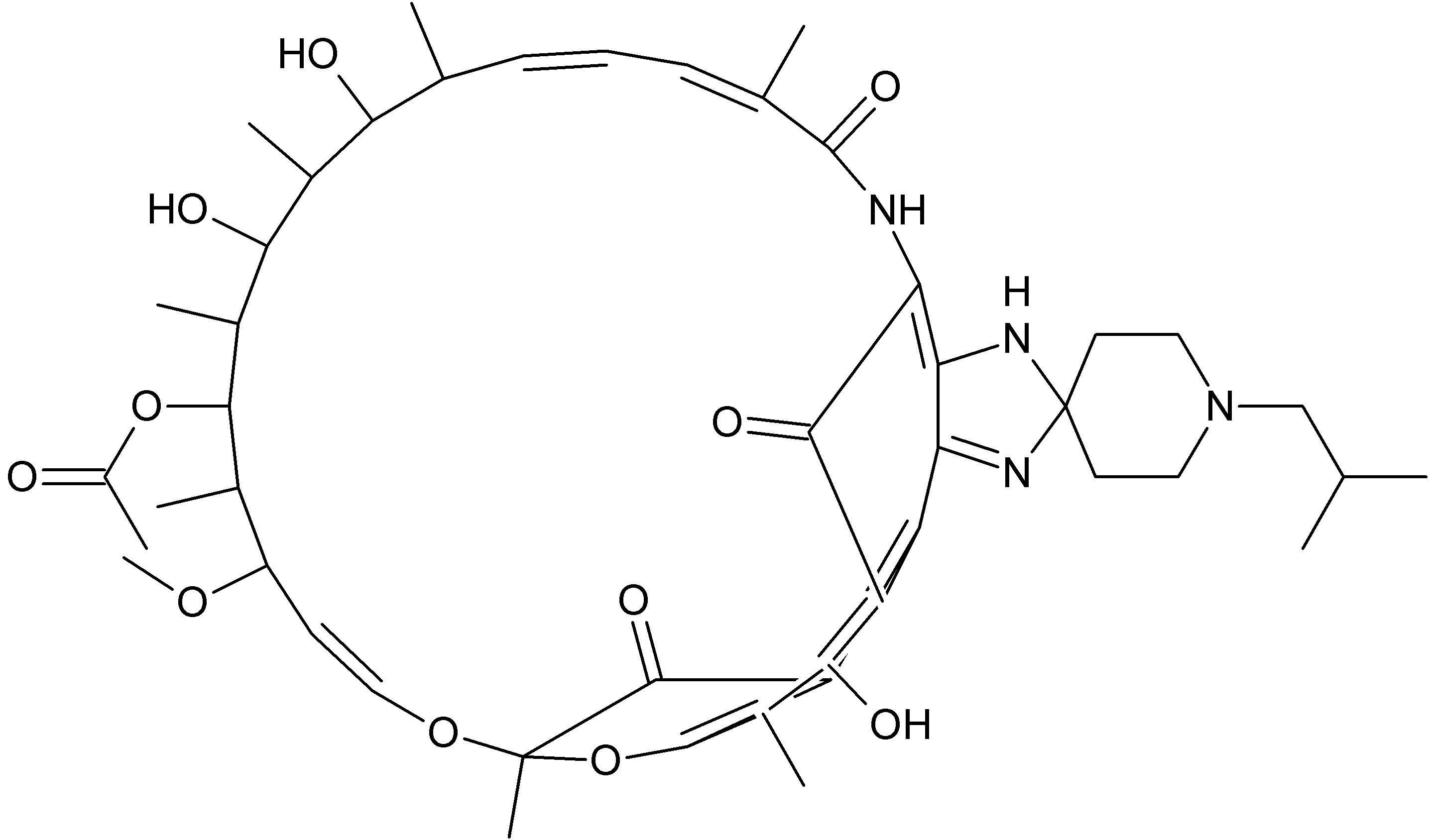
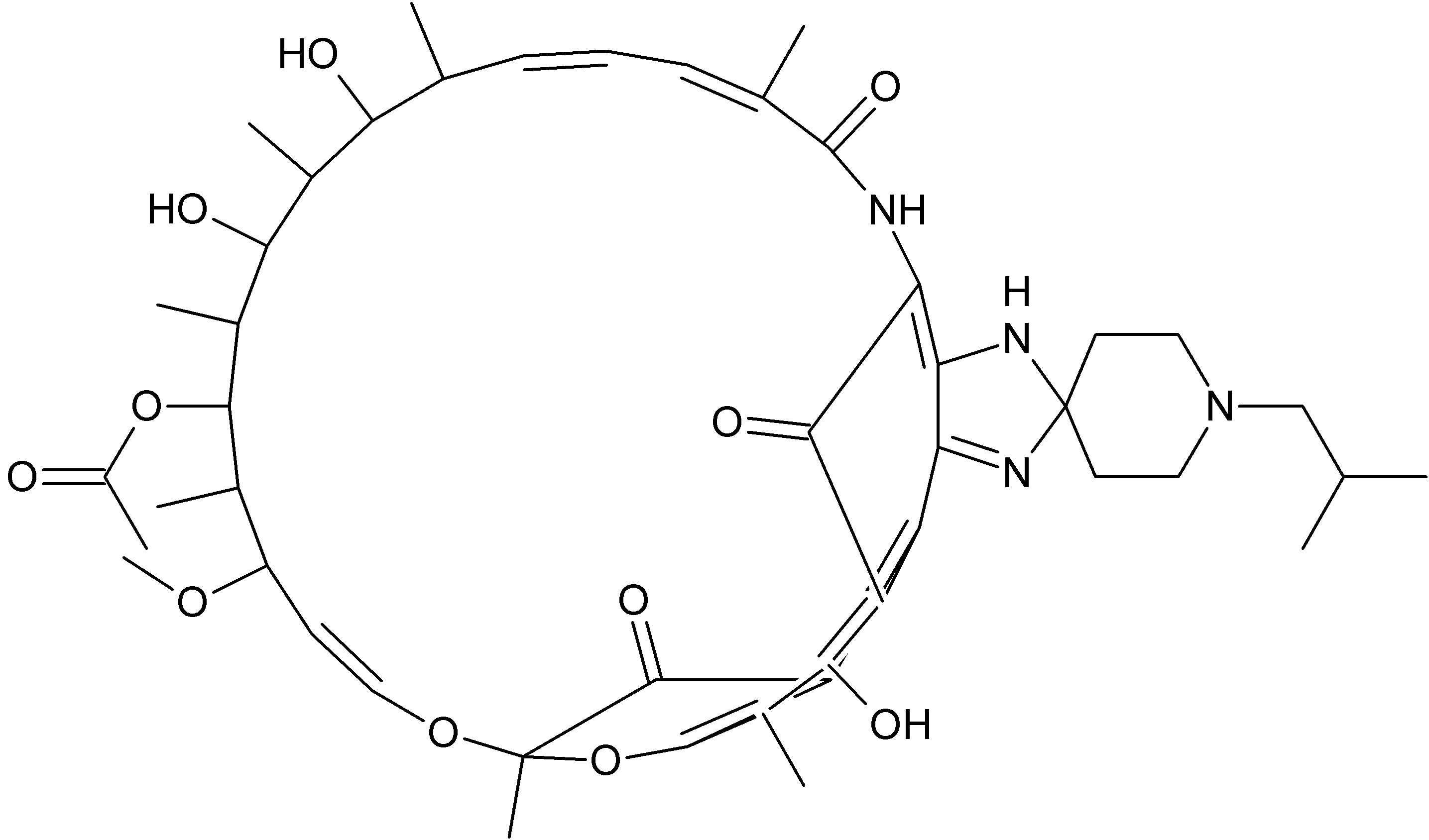
Antybiotyk   Rifabutin  
Roztwór doustny
Stabilność preparatów farmaceutycznych Trwałość w mieszaninie Czynnik wpływający na trwałość Zgodność Bibliografia pdf
   Struktura chemiczna  

Roztwór doustny
Zgodność   Roztwór doustny   Zgodność : Rifabutin              
Brak danych

  Mentions Légales