Cập nhật lần cuối :
27/04/2026
Thuốc ức chế bơm proton   Omeprazole sodium  
Dung dịch uống
Dạng tiêm
Tính ổn định của các chế phẩm Độ ổn định khi trộn lẫn Những yếu tố ảnh hưởng đến độ ổn định Khả năng tương thích Tài liệu tham khảo Pdf
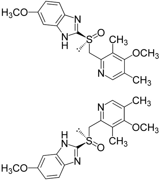
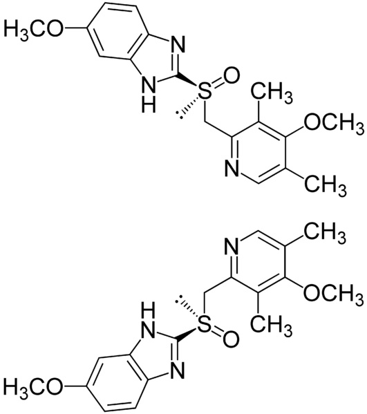
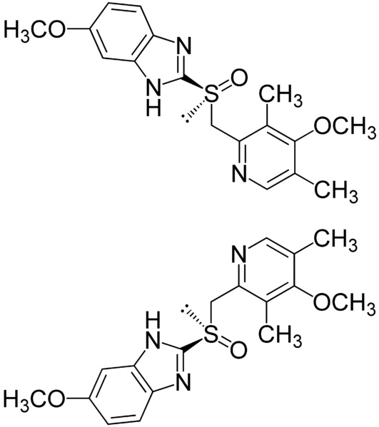
   Cấu trúc hóa học  

Dung dịch uống
Tài liệu tham khảo   Dung dịch uống   Tài liệu tham khảo : Omeprazole sodium  
Loại Nguồn
2402 Tạp chí Burnett JE, Balkin ER.
Stability and viscosity of a flavored omeprazole oral suspension for pediatric use
Am J Health-Syst Pharm 2006 ; 63: 2240-2247.
2430 Tạp chí Quercia RA, Fan C, Liu X, Chow MS.
Stability of omeprazole in an extemporaneously prepared oral liquid
Am J Health-Syst Pharm 1997 ; 54: 1833-1836.
2546 Tạp chí DiGiacinto JL, Olsen KM, BergmanKL, Hoie EB.
Stability of suspension formulations of lansoprazole and omeprazole stored in amber-colored plastic oral syringes.
Ann Pharmacotherapy 2000 ;34:600-605.
2886 Tạp chí Garg S, Svirskis D, Al-Kabba M, Farhan S, Komeshi M, Lee J, Liu Q, Naidoo S.
Chemical Stability of Extemporaneously Compounded Omeprazole Formulations: A methods of compounding.
Int J Pharm Compound 2009 ; 13, 3: 250-253.
2980 Tạp chí Johnson CE, Cober MP, Ludwig JL.
Stability of partial doses of omeprazole-sodium bicarbonate oral suspension.
Ann Pharmacotherapy 2007 ; 41: 1954-1961.
3302 Tạp chí Whaley P A, Voudrie M A, Sorenson B.
Stability of Omeprazole in SyrSpend SF Alka (Reconstituted).
Int J Pharm Compound 2012 ; 16, 2 : 164-166.
3913 Tạp chí Polonini H.C, Silva S.L, Loures S, Almy R, Balland A, Brandao M.A.F, Ferreira A.O.
Compatibility of proton pump inhibitors in a preservative-free suspending vehicle.
EJHP 2018 ;25,3:150-156.
4360 Tạp chí Oriana Boscolo, Francesco Perra, Leandro Salvo, Fabiàn Buontempo, and Silvia Lucangioli.
Formulation and Stability Study of Omeprazole Oral Liquid Suspension for Pediatric Patients.
Hosp Pharm 2019
4388 Tạp chí Meissner S, Bansal M, Donamae P, Hanning S, Svirskis D.
The Effect of Manufacturer on the Compounding of Omeprazole Suspensions and Their Stability Assessment.
Int J Pharm Compound 2020 ;24,2:140-147
4683 Tạp chí Low M, Singh S, Venkataya B, Pearson J, Ibrahim M, Jarouche M, Khoo C, Rowe J, Li CG.
Stability of omeprazole in a commercial calcium carbonate based oral suspension at 2, 5 and 10 mg/mL stored under refrigeration (4°C) for 70 days
J Pharm Pract and Res 2022 2022; 52, 34-41
4766 Tạp chí Spennacchio A, Assunta Lopedota A, Maria la Forgia F, Fontana S, Denora N, Lopalco A.
Stability of omeprazole extemporaneous oral solution in Chopin Base.
Int J Pharm Compound 2023 ;27,3:250-255

  Mentions Légales