Letztes “update” :
27/04/2026
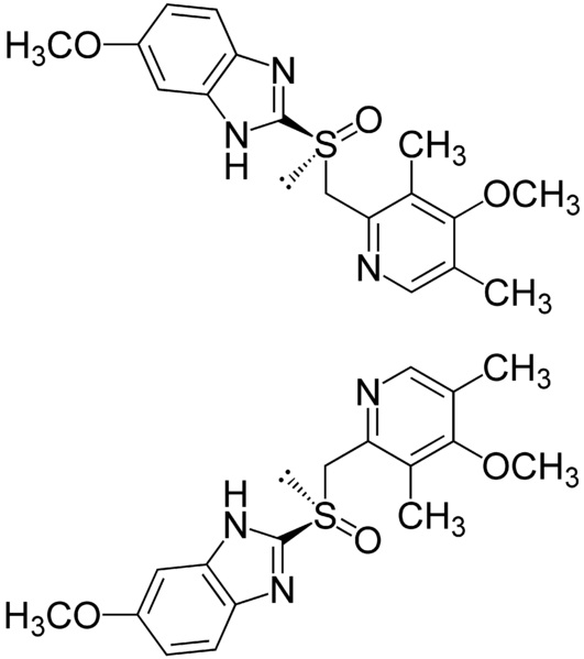
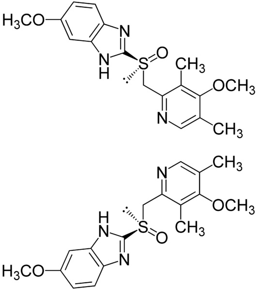
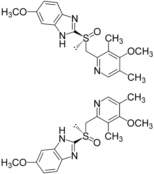
Protonenpumpenhemmer   Omeprazole sodium  
Lösung zum Einnehmen
Injektion
Stabilität von pharmazeutischen Präparaten Gemengestabilität Stabilitätbeeinflussende Faktoren Kompatibilitäten Literaturverzeichnis pdf
   Chemische Struktur  

Lösung zum Einnehmen
Literaturverzeichnis   Lösung zum Einnehmen   Literaturverzeichnis : Omeprazole sodium  
Typ Veröffentlichung
2402 Zeitung Burnett JE, Balkin ER.
Stability and viscosity of a flavored omeprazole oral suspension for pediatric use
Am J Health-Syst Pharm 2006 ; 63: 2240-2247.
2430 Zeitung Quercia RA, Fan C, Liu X, Chow MS.
Stability of omeprazole in an extemporaneously prepared oral liquid
Am J Health-Syst Pharm 1997 ; 54: 1833-1836.
2546 Zeitung DiGiacinto JL, Olsen KM, BergmanKL, Hoie EB.
Stability of suspension formulations of lansoprazole and omeprazole stored in amber-colored plastic oral syringes.
Ann Pharmacotherapy 2000 ;34:600-605.
2886 Zeitung Garg S, Svirskis D, Al-Kabba M, Farhan S, Komeshi M, Lee J, Liu Q, Naidoo S.
Chemical Stability of Extemporaneously Compounded Omeprazole Formulations: A methods of compounding.
Int J Pharm Compound 2009 ; 13, 3: 250-253.
2980 Zeitung Johnson CE, Cober MP, Ludwig JL.
Stability of partial doses of omeprazole-sodium bicarbonate oral suspension.
Ann Pharmacotherapy 2007 ; 41: 1954-1961.
3302 Zeitung Whaley P A, Voudrie M A, Sorenson B.
Stability of Omeprazole in SyrSpend SF Alka (Reconstituted).
Int J Pharm Compound 2012 ; 16, 2 : 164-166.
3913 Zeitung Polonini H.C, Silva S.L, Loures S, Almy R, Balland A, Brandao M.A.F, Ferreira A.O.
Compatibility of proton pump inhibitors in a preservative-free suspending vehicle.
EJHP 2018 ;25,3:150-156.
4360 Zeitung Oriana Boscolo, Francesco Perra, Leandro Salvo, Fabiàn Buontempo, and Silvia Lucangioli.
Formulation and Stability Study of Omeprazole Oral Liquid Suspension for Pediatric Patients.
Hosp Pharm 2019
4388 Zeitung Meissner S, Bansal M, Donamae P, Hanning S, Svirskis D.
The Effect of Manufacturer on the Compounding of Omeprazole Suspensions and Their Stability Assessment.
Int J Pharm Compound 2020 ;24,2:140-147
4683 Zeitung Low M, Singh S, Venkataya B, Pearson J, Ibrahim M, Jarouche M, Khoo C, Rowe J, Li CG.
Stability of omeprazole in a commercial calcium carbonate based oral suspension at 2, 5 and 10 mg/mL stored under refrigeration (4°C) for 70 days
J Pharm Pract and Res 2022 2022; 52, 34-41
4766 Zeitung Spennacchio A, Assunta Lopedota A, Maria la Forgia F, Fontana S, Denora N, Lopalco A.
Stability of omeprazole extemporaneous oral solution in Chopin Base.
Int J Pharm Compound 2023 ;27,3:250-255

  Mentions Légales