Last update :
27/01/2026
General anesthetic   Amobarbital sodium  
injection
Stability in solutions Stability of mixtures Factors which affect stability Compatibility Route of administration References pdf
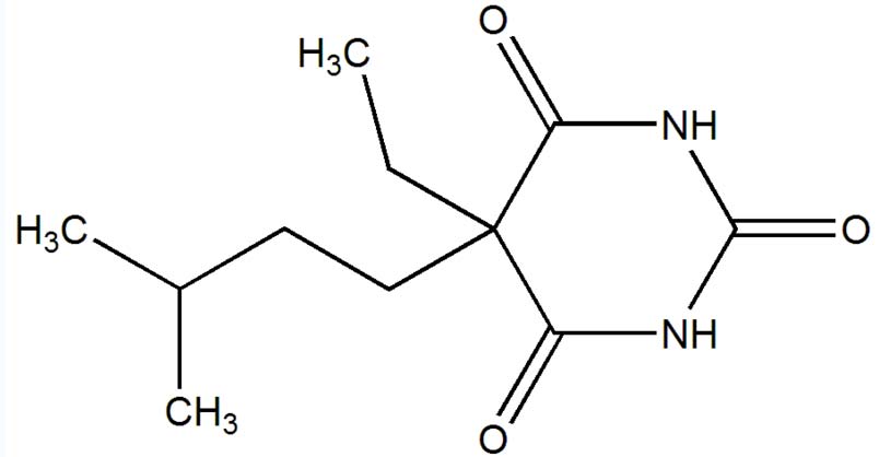
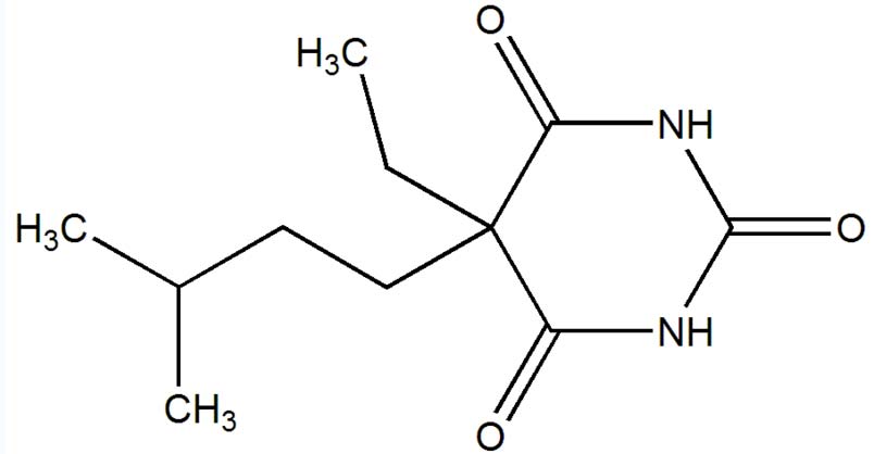
   Chemical structure  

Tradename   Tradename     

Trade names are indicative and excipients composition can be different depending on the country and manufacturers

Amytal Sodium United States of America
Stability in solutions   injection   Stability in solutions : Amobarbital sodium     
No data

  Mentions Légales