Poslední aktualizace :
16/12/2025
Centrální anestetikum   Amobarbital sodium  
injekce
Stabilita roztoků Stabilita směsí Faktory ovlivňující stabilitu Kompatibilita Způsoby aplikace Odkazy pdf
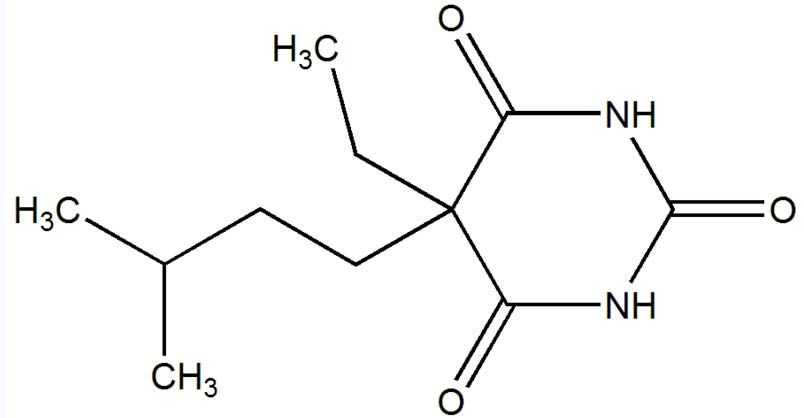
   Chemický vzorec  

Obchodní název   Obchodní název     

Trade names are indicative and excipients composition can be different depending on the country and manufacturers

Amytal Sodium USA
Stabilita roztoků   injekce   Stabilita roztoků : Amobarbital sodium     
žádná data

  Mentions Légales