آخر تحديث :
27/01/2026
مضاد حيوي   Spiramycine adipate  
حقن
الاستقرار في حلول استقرار مخاليط العوامل التي تؤثر على الاستقرار التوافق طريقة التعاطي مراجع pdf
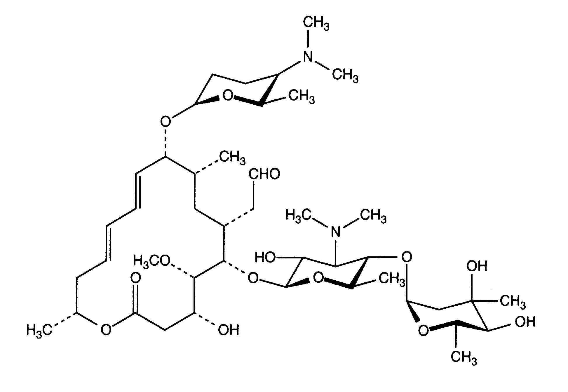
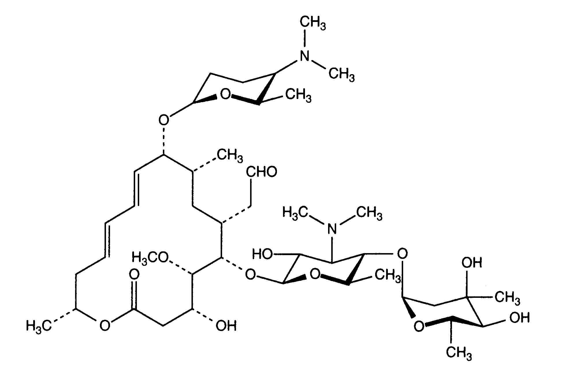
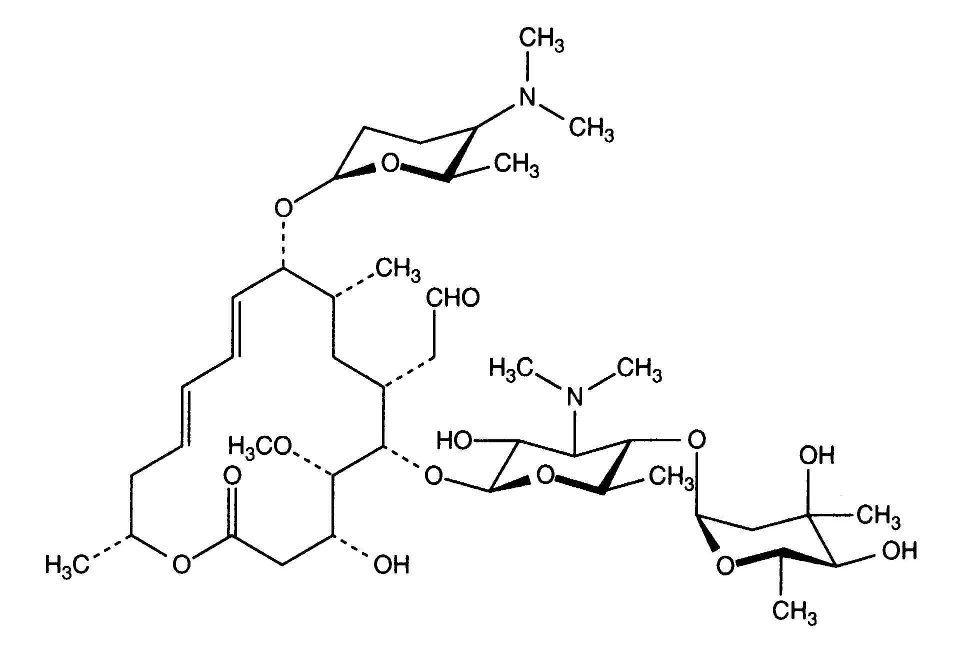
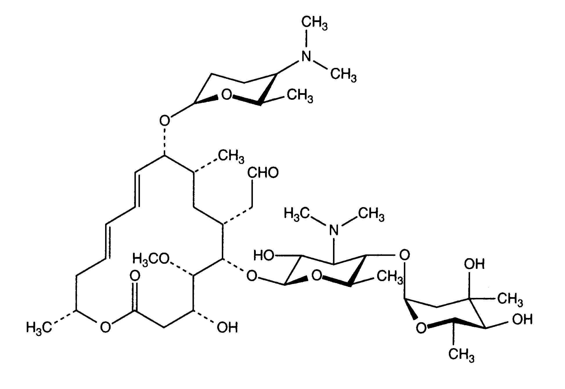
   التركيب الكيميائي  

حجز الاسم التجاري   حجز الاسم التجاري     

تحذير الأسماء التجاريه المختلفه قد تحتوي علي محتوي إضافات مختلفة حسب الدوله و المعمل

Rovamycine بولندا, فرنسا
مراجع   حقن   مراجع : Spiramycine adipate  
نوع منشور
3563 مختبر Spiramycine adipate (Rovamycine®) - Résumé des caractéristiques du produit
Sanofi Aventis France 2013
4254 مجلة D'Huart E, Vigneron J, Demoré B.
Physical Compatibility of Intravenous Drugs Commonly Used in Intensive Care Units: An Observational Study and Physical Compatibility Laboratory Tests on Anti-Infective Drugs
Pharmaceutical Technology in Hospital Pharmacy 2019 ;4,1:29-40
4698 مجلة Ayari G, D'Huart E, Vigneron J, Demoré B.
Y-site compatibility of intravenous medications commonly used in intensive care units : laboratory tests on 75 mixtures involving nine main drugs.
Pharmaceutical Technology in Hospital Pharmacy 2022 ; 7(1): 20220002

  Mentions Légales