Senaste uppdateringen :
27/01/2026
cancerläkemedel   Pemetrexed diarginine  
injektion
Lösningars stabilitet Stabilitet i blandningar Faktorer som påverkar stabiliteten Kompatibilitet Administreringssätt Hänvisningar pdf
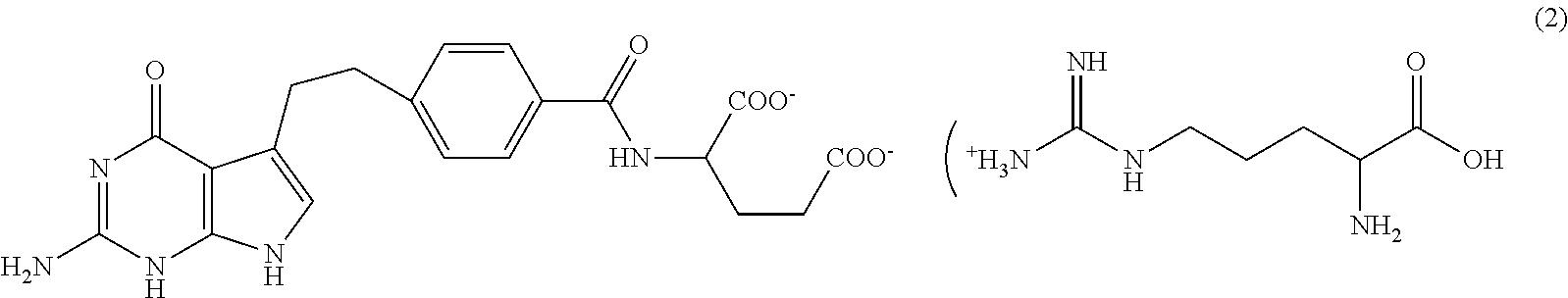
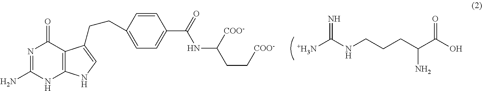
   Molekylstruktur  

Varunamn   Varunamn     

Angivna handelsnamn på läkemedel är enbart vägledande då formulering inklusive hjälpämnen kan variera mellan länder och tillverkare

Pemetrexed Mylan Frankrike
Pemetrexed Ohre Pharma Frankrike
Pemetrexed Zentiva Frankrike
Kompatibilitet   injektion   Kompatibilitet : Pemetrexed diarginine              
Den här skärmen visar kompatibiliteten eller inkompatibiliteten med, i detta fall, typen av inkompatibilitet (utfällning, färgförändring, modifiering av en emulsion, etc.). De kompatibiliteter som visas här är oftast endast fysiska, varvid den kemiska stabiliteten för varje molekyl sällan utvärderas. Utvärderingen av dessa blandningar studerades för att överväga möjligheten för Y-platsadministrering till patienten. Dessa data kan inte användas för att göra blandningar i förväg i påsar eller sprutor. Denna typ av information finns på skärmen "Stabilitet i blandning".
Substans Lösningsmedel Hänvisningar

  Mentions Légales