最新更新 :
27/04/2026
抗生素   Ampicillin sodium - sulbactam sodium  
注射液
溶液稳定性 混合物稳定性 影响稳定性的因素 兼容性 用药途径 引用文献 PDF
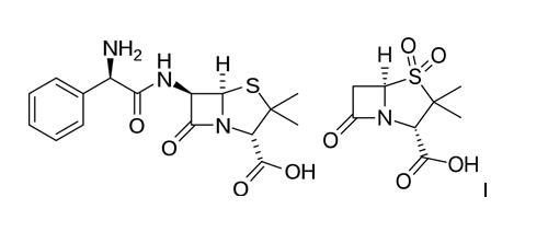
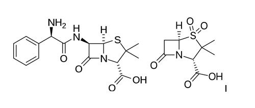
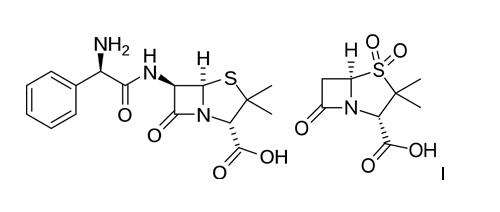
   化学式  

商品名   商品名     

商品名仅供参考, 药品所用的辅料可能依国家或厂商不同有所不同。

Alfasid 土耳其
Ampibac 哥伦比亚
Ampibactam 委内瑞拉
Ampicillin sulbactam 澳大利亚
Ampicillina sodica - sulbactam 厄瓜多尔, 巴西
Ampictam 埃及
Ampiplus 沙特阿拉伯, 罗马尼亚
Ampisid 土耳其
Ampixim 委内瑞拉
Bacimex 西班牙
Begalin 希腊
Bethacil 意大利
Cinclox 印度
Combicid 土耳其
Darzitil 阿根廷
Duobaktam 土耳其
Duocid 土耳其
Galotam 西班牙
Libractam 智利
Loricin 意大利
Prixin 阿根廷
Ranpisul 墨西哥
Retarpen 西班牙
Sabect 埃及
Sulamp 哥伦比亚
Sulbacter 委内瑞拉
Sulbaksit 土耳其
Sulbin 埃及
Sulcid 土耳其
Sumitan 哥伦比亚, 委内瑞拉
Synerpen 埃及
Ultracillin 埃及
Unacid 德国
Unacim 法国
Unasyn 匈牙利, 厄瓜多尔, 哥伦比亚, 埃及, 墨西哥, 奥地利, 巴西, 德国, 意大利, 摩洛哥, 日本, 智利, 沙特阿拉伯, 波兰, 秘鲁, 美国, 西班牙, 马来西亚
Unictam 埃及
Xilbac 秘鲁
用药途径   用药途径 :Ampicillin sodium - sulbactam sodium     
路线
静脉注射
肌肉内

  Mentions Légales