Последно актуализиране :
27/04/2026
Антибиотик   Ampicillin sodium - sulbactam sodium  
Инжекция/Инжекционен
Стабилност на разтвори Стабилност на смеси Фактори, повлияващи стабилността Съвместимост Път на въвеждане Библиография Pdf
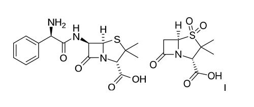
   Химична структура  

Търговско наименование   Търговско наименование     

Търговските имена са примерни и съставът на помощните вещества може да бъде различен в зависимост от държавата и лабораториите

Alfasid Турция
Ampibac Колумбия
Ampibactam Венецуела
Ampicillin sulbactam Австралия
Ampicillina sodica - sulbactam Бразилия, Еквадор
Ampictam Египет
Ampiplus Румъния, Саудитска Арабия
Ampisid Турция
Ampixim Венецуела
Bacimex Испания
Begalin Гърция
Bethacil Италия
Cinclox Индия
Combicid Турция
Darzitil Аржентина
Duobaktam Турция
Duocid Турция
Galotam Испания
Libractam Чили
Loricin Италия
Prixin Аржентина
Ranpisul Мексико
Retarpen Испания
Sabect Египет
Sulamp Колумбия
Sulbacter Венецуела
Sulbaksit Турция
Sulbin Египет
Sulcid Турция
Sumitan Венецуела, Колумбия
Synerpen Египет
Ultracillin Египет
Unacid Германия
Unacim Франция
Unasyn Австрия, Бразилия, Германия, Египет, Еквадор, Испания, Италия, Колумбия, Малайзия, Мароко, Мексико, Перу, Полша, Саудитска Арабия, Съединени Американски щати / САЩ, Унгария, Чили, Япония
Unictam Египет
Xilbac Перу
Път на въвеждане   Път на въвеждане :Ampicillin sodium - sulbactam sodium     
Voie
Интравенозно
Интрамускулно

  Mentions Légales