Viimeisin päivitys :
27/01/2026
Infostab
Luettelo yhdisteistä
Yhteenveto-luettelot
Etsi yhteensopivuutta
Y-sivuston yhteensopivuustaulukko
Viitteet
tutkimus Joukkueet
valistab
ilmoitus
Liitännät
sponsorit
Tekijät
Käyttöohje
Uutiskirje
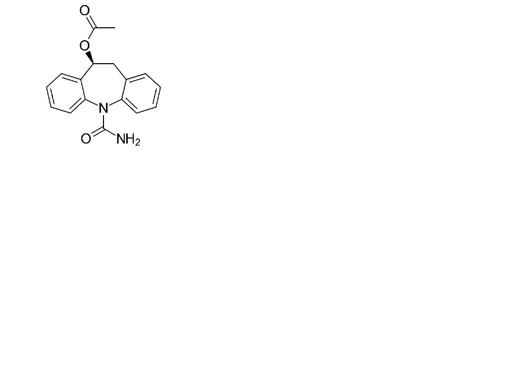
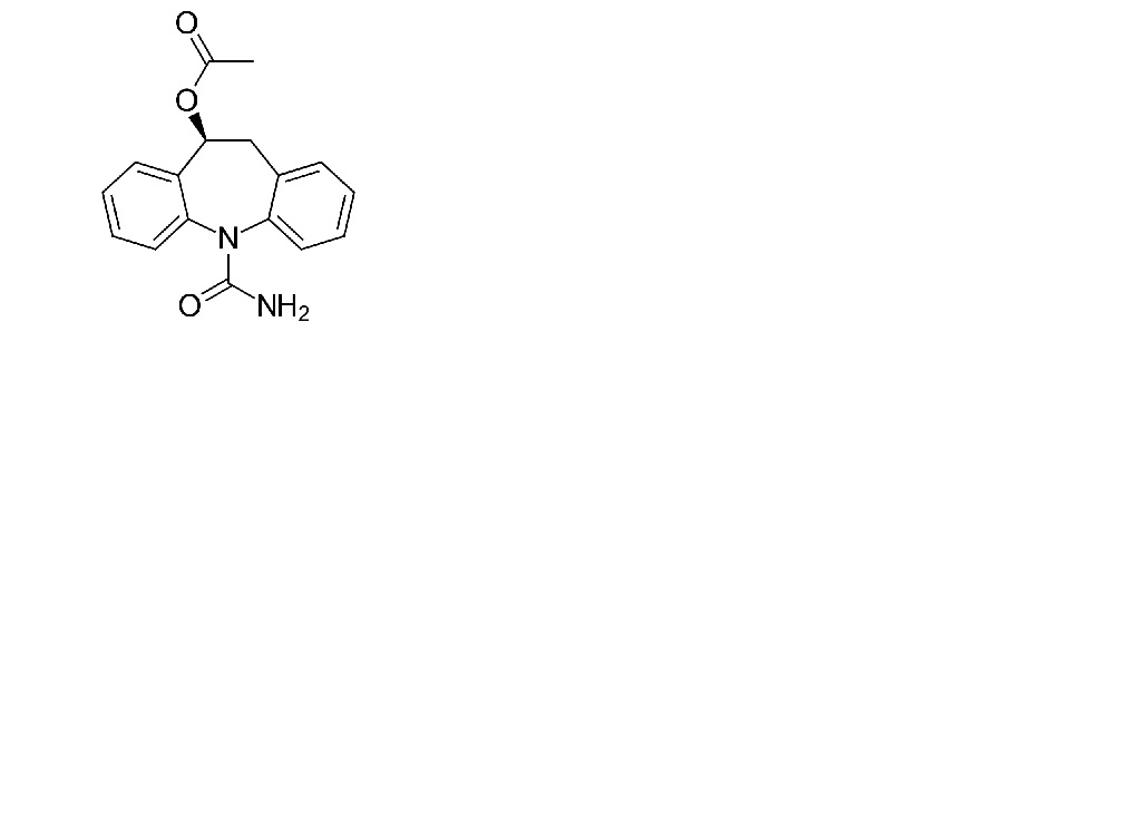
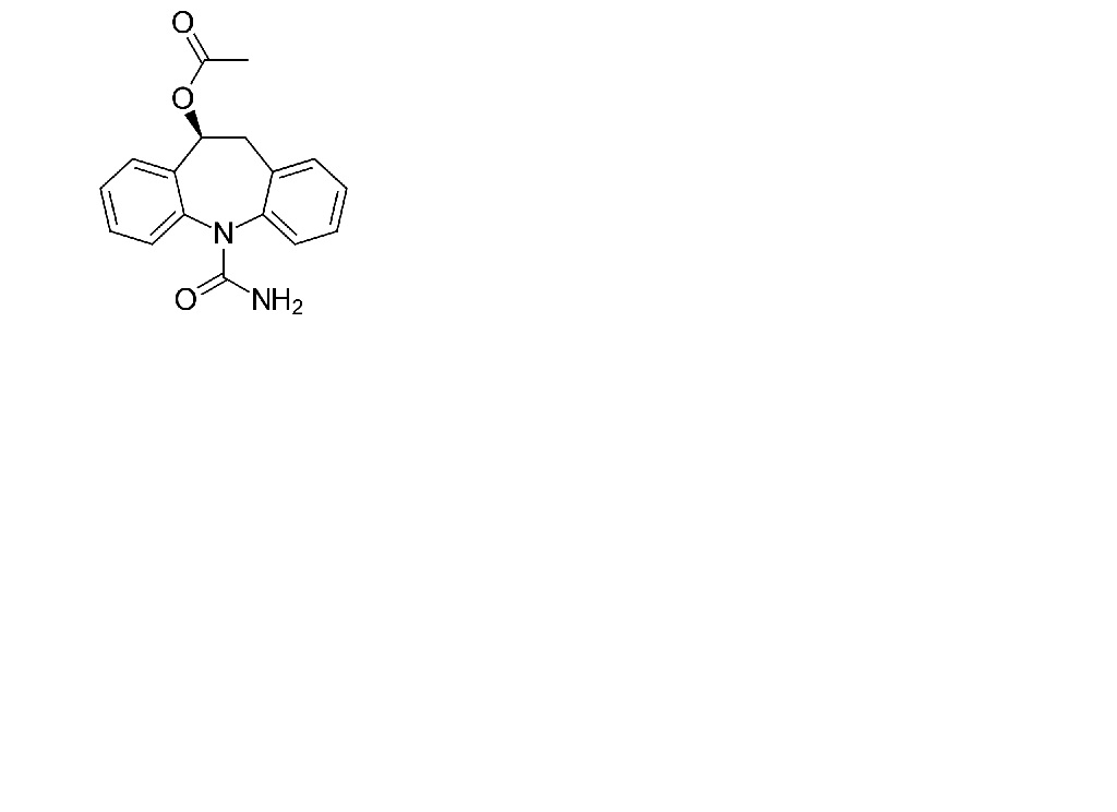
Eslicarbazepine acetate
Kemiallinen rakenne
Viitteet : Eslicarbazepine acetate
tyyppi
julkaisu
4048
Lehti
Reindel K, Zhao F, Hughes S, Dave V.
In vitro evaluation of eslicarbazepine delivery via enteral feeding tubes.
Hosp Pharm 2017 ;52,11:752-760
4170
Lehti
Zhao F, Dave V.S, Mar M, Perri J.
Formulation and Stability Study of Eslicarbazepine Acetate Oral Suspensions for Extemporaneous Compounding.
Int J Pharm Compound 2018 22,5:433-439
Mentions Légales