Seneste opdatering :
27/01/2026
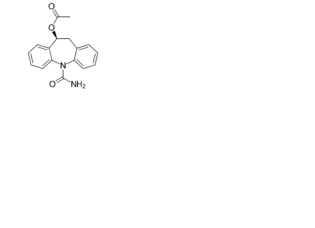
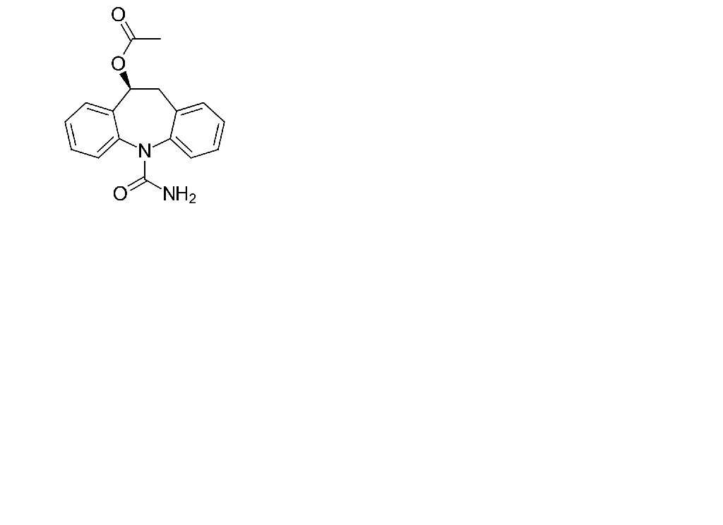
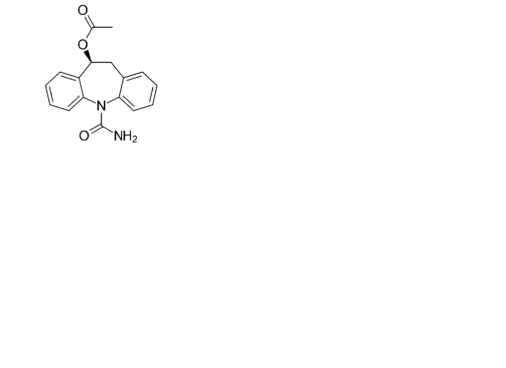
Antiepileptisk   Eslicarbazepine acetate  
Oral opløsning
Stabilitet af farmaceutiske tilberedninger Stabilitet i blandinger Faktorer der påvirker stabiliteten Kompatibilitet Bibliografi pdf
   Kemisk struktur  

Oral opløsning
Bibliografi   Oral opløsning   Bibliografi : Eslicarbazepine acetate  
Type offentliggørelse
4048 Journal Reindel K, Zhao F, Hughes S, Dave V.
In vitro evaluation of eslicarbazepine delivery via enteral feeding tubes.
Hosp Pharm 2017 ;52,11:752-760
4170 Journal Zhao F, Dave V.S, Mar M, Perri J.
Formulation and Stability Study of Eslicarbazepine Acetate Oral Suspensions for Extemporaneous Compounding.
Int J Pharm Compound 2018 22,5:433-439

  Mentions Légales