Poslední aktualizace :
27/04/2026
Įvairūs   Indocyanine green  
Įpurškimas
Tirpalų stabilumas Mišinių stabilumas Stabilumą lemiantys veiksniai Suderinamumas Leidimo būdai Bibliografija pdf
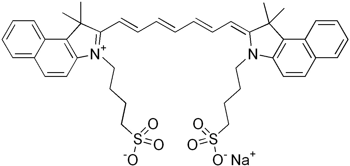
   Cheminė sandara  

Prekinis pavadinimas   Prekinis pavadinimas     

Trade names are indicative and excipients composition can be different depending on the country and manufacturers

Infracyanine Prancūzija
Verdye Airija, Belgija, Ispanija, Italija, Rumunija, Švedija, Vengrija, Vokietija
Suderinamumas   Įpurškimas   Suderinamumas : Indocyanine green              
explication_incompatibilite_molecules
Molekulė Tirpiklis Nuorodos

  Mentions Légales