Последнее обновление :
27/04/2026
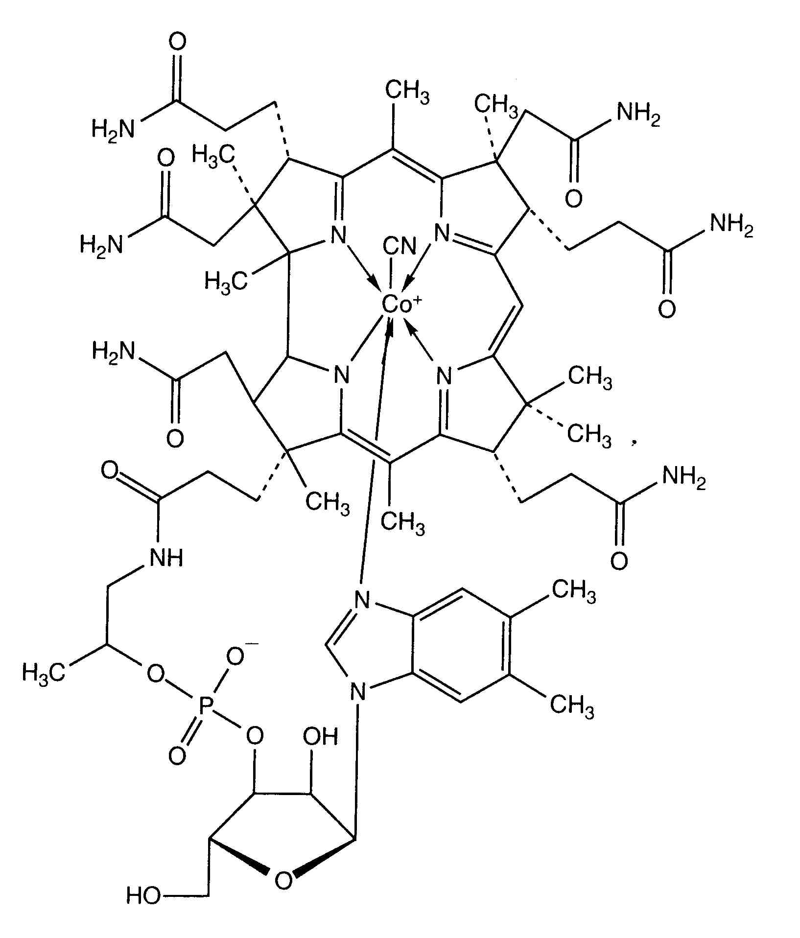
Витамин   Cyanocobalamine  
Инъекция
Стабильность растворов Стабильность смесей Факторы, которые влияют на стабильность Совместимость Способы введения Библиография pdf
   Химическая структура  

Товарное название   Товарное название     

Trade names are indicative and excipients composition can be different depending on the country and manufacturers

Ambe 12 Германия
Ambene B Германия
B12 Ankermann Германия
B12 Asmedic Германия
B12 for injection Германия, Канада
B12 Vicotrat Германия
Beto 12 Египет
Betolvex Дания, Египет, Норвегия, Объединенные Арабские Эмираты, Саудовская Аравия, Финляндия, Швейцария, Швеция
Bitavion Иран
Cianocobalamina Венесуэла, Колумбия, чили, Эквадор
Cidulvex Египет
Citon Индия
Cobal Малайзия
Cobex Канада
Cozamon Венесуэла
Cromatonbic B12 Испания
Cyanocobalamin Египет, Малайзия, новая Зеландия, Соединённые Штаты Америки
Cyanocobalamine Малайзия, Франция
Cyanvit Иран
Cynovit Объединенные Арабские Эмираты, Саудовская Аравия
Cytamen Австралия, Великобритания, Ирландия
Cytobion Германия, Саудовская Аравия
Dobetin Италия
Dodex Турция
Droxofor Венесуэла
Duradoce Мексика
Emicobal Египет
Hamo Vilobex Германия
Hidro Doce 5000 Венесуэла
Ibedox Венесуэла
L Vit 12 Индия
Lifaton B12 Испания
Lophakomp B12 Германия
Optovite B12 Испания
Osve Vitamin B12 Иран
Permadoze Португалия
Reedvit Аргентина
Reiculoger Испания, Эквадор
Rowo Vitamin B12 Германия
Rubivamin Египет, Соединённые Штаты Америки
Vibalmin Иран
Vicapan Германия
Viplex B12 Турция
Vitakobal Турция
Vitamina B12 Австрия, Бельгия, Венесуэла, Германия, Иран, Канада, Колумбия, Малайзия, Марокко, Норвегия, Объединенные Арабские Эмираты, Румыния, Тунис, Швейцария, Эквадор
Vitaminum B12 Польша
Vitarubine Швейцария
Способы введения   Способы введения :Cyanocobalamine     
Voie
Подкожная инъекция

  Mentions Légales