Poslední aktualizace :
27/01/2026
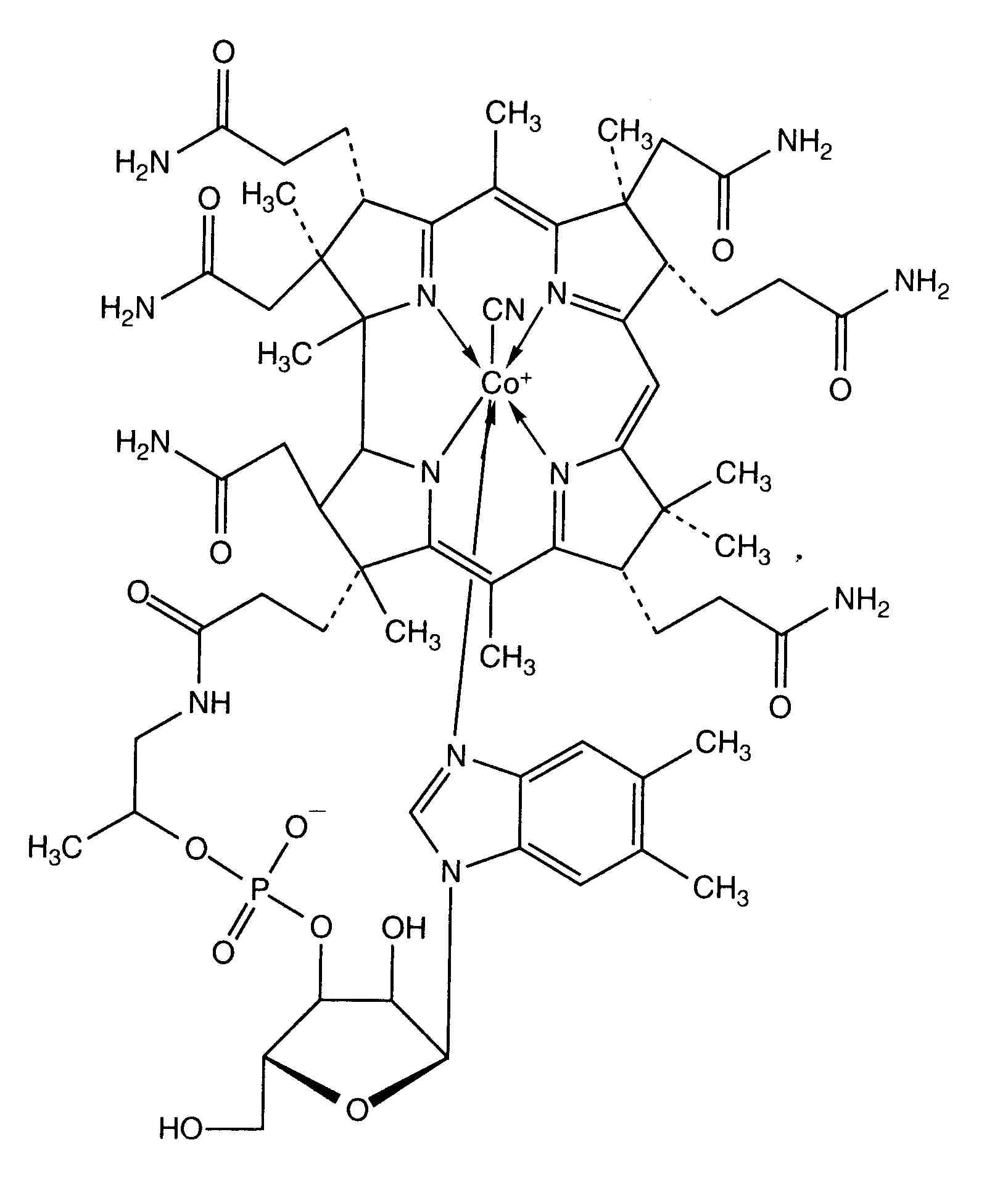
Vitamin   Cyanocobalamine  
injekce
Stabilita roztoků Stabilita směsí Faktory ovlivňující stabilitu Kompatibilita Způsoby aplikace Odkazy pdf
   Chemický vzorec  

Obchodní název   Obchodní název     

Trade names are indicative and excipients composition can be different depending on the country and manufacturers

Ambe 12 NÏmecko
Ambene B NÏmecko
B12 Ankermann NÏmecko
B12 Asmedic NÏmecko
B12 for injection Kanada, NÏmecko
B12 Vicotrat NÏmecko
Beto 12 Egypt
Betolvex Dánsko, Egypt, Finsko, Norsko, Saúdská Arábie, Spojené arabské emiráty, Švédsko, Švýcarsko
Bitavion Írán
Cianocobalamina Chile, Ekvádor, Kolumbie, Venezuela
Cidulvex Egypt
Citon Indie
Cobal Malajsie
Cobex Kanada
Cozamon Venezuela
Cromatonbic B12 äpanÏlsko
Cyanocobalamin Egypt, Malajsie, nový Zéland, USA
Cyanocobalamine Francie, Malajsie
Cyanvit Írán
Cynovit Saúdská Arábie, Spojené arabské emiráty
Cytamen Austrálie, Irsko, Velká Británie
Cytobion NÏmecko, Saúdská Arábie
Dobetin Itálie
Dodex Turecko
Droxofor Venezuela
Duradoce Mexiko
Emicobal Egypt
Hamo Vilobex NÏmecko
Hidro Doce 5000 Venezuela
Ibedox Venezuela
L Vit 12 Indie
Lifaton B12 äpanÏlsko
Lophakomp B12 NÏmecko
Optovite B12 äpanÏlsko
Osve Vitamin B12 Írán
Permadoze Portugalsko
Reedvit Argentina
Reiculoger äpanÏlsko, Ekvádor
Rowo Vitamin B12 NÏmecko
Rubivamin Egypt, USA
Vibalmin Írán
Vicapan NÏmecko
Viplex B12 Turecko
Vitakobal Turecko
Vitamina B12 Belgie, Ekvádor, Írán, Kanada, Kolumbie, Malajsie, Maroko, NÏmecko, Norsko, Rakousko, Rumunsko, Spojené arabské emiráty, Švýcarsko, Tunisko, Venezuela
Vitaminum B12 Polsko
Vitarubine Švýcarsko
Způsoby aplikace   Způsoby aplikace :Cyanocobalamine     
Voie
PodkoûnÌ

  Mentions Légales