Siste oppdatering :
27/01/2026
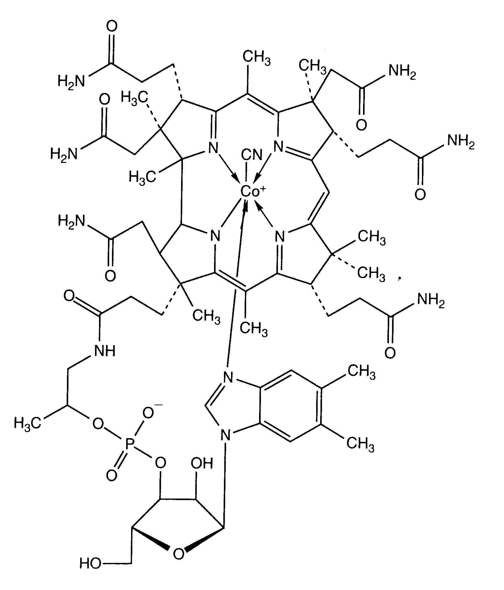
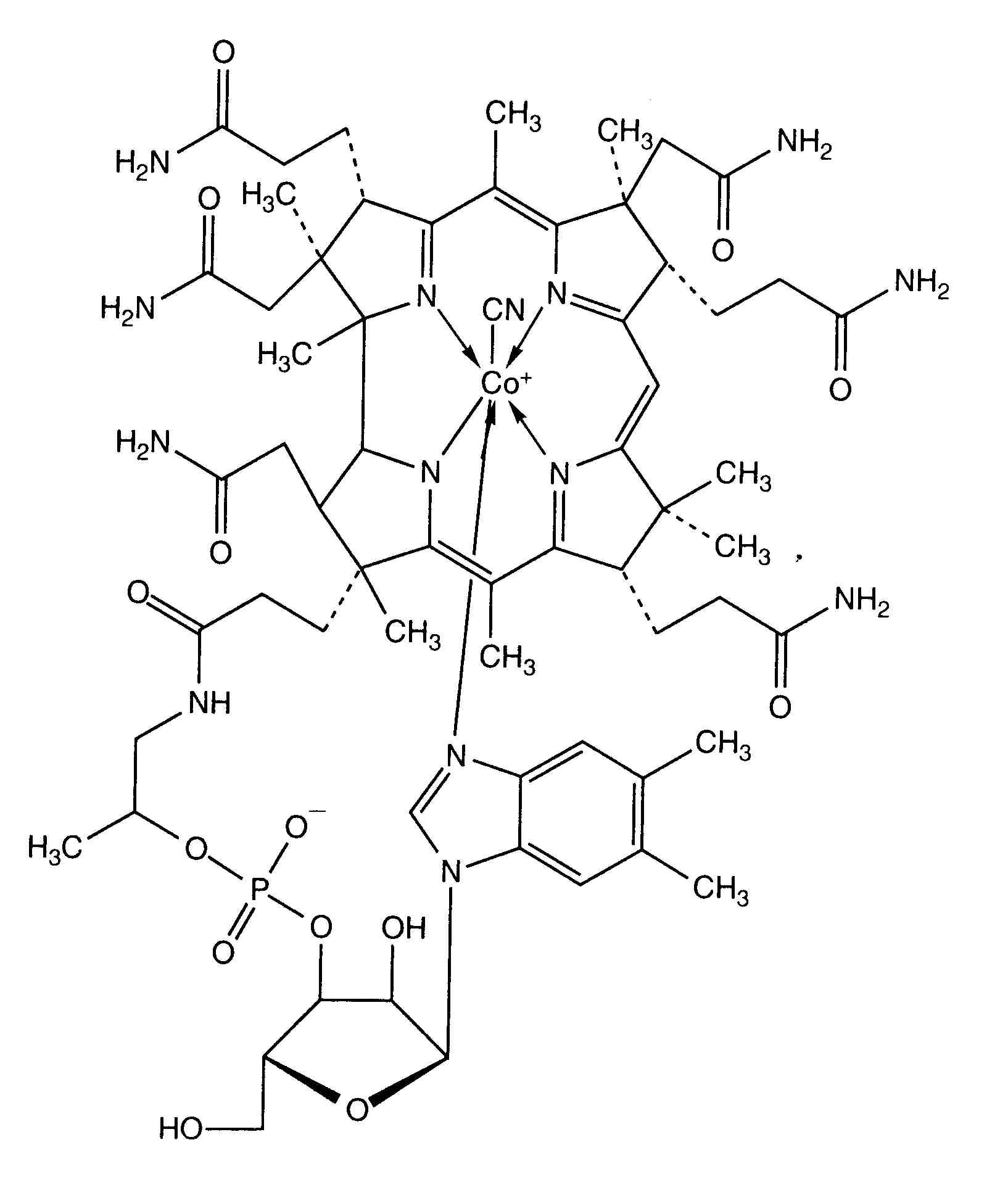
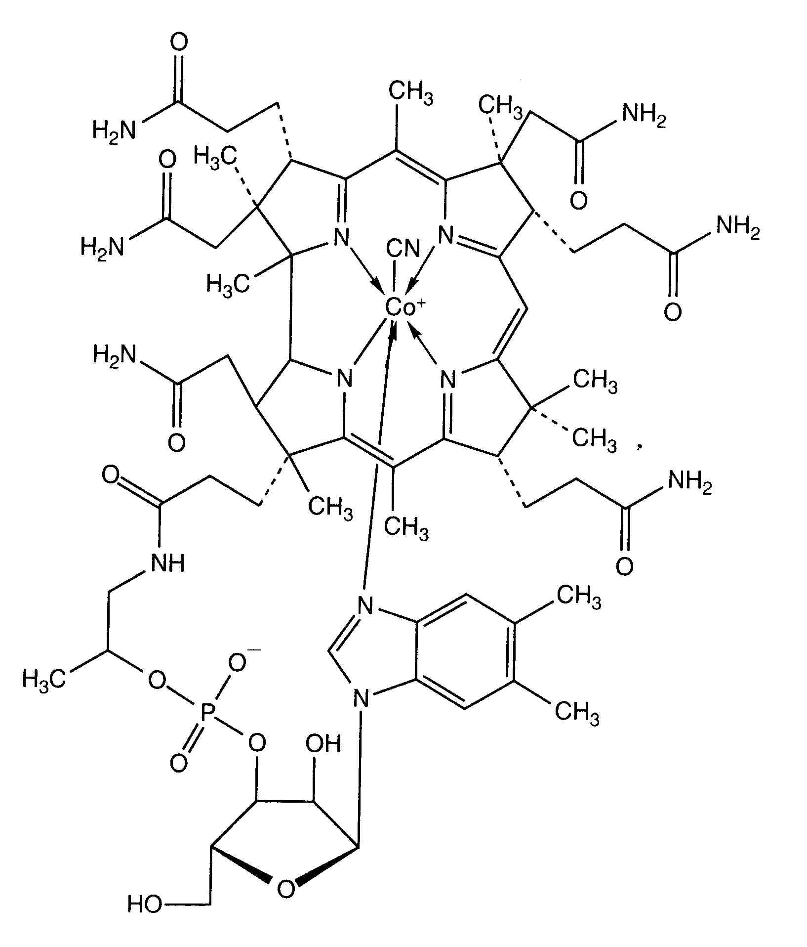
Vitamin   Cyanocobalamine  
Injeksjon
Oppløsningsstabilitet Stabilitet i blandinger Faktorer som påvirker stabiliteten Kompatibilitet Administrasjonsmåte Referanser pdf
   Kjemisk struktur  

Handelsnavn   Handelsnavn     

Handelsnavn er veiledende og sammensetning av hjelpestoffer kan være forskjellig avhengig av land og produsent

Ambe 12 Tyskland
Ambene B Tyskland
B12 Ankermann Tyskland
B12 Asmedic Tyskland
B12 for injection Canada, Tyskland
B12 Vicotrat Tyskland
Beto 12 Egypt
Betolvex Danmark, De forente arabiske emirater, Egypt, Finland, Norge, Saudi-Arabia, Sveits, Sverige
Bitavion Iran
Cianocobalamina Chile, Colombia, Ecuador, Venezuela
Cidulvex Egypt
Citon India
Cobal Malaysia
Cobex Canada
Cozamon Venezuela
Cromatonbic B12 Spania
Cyanocobalamin Egypt, Malaysia, New Zealand, USA
Cyanocobalamine Frankrike, Malaysia
Cyanvit Iran
Cynovit De forente arabiske emirater, Saudi-Arabia
Cytamen Australia, Irland, Storbritannia
Cytobion Saudi-Arabia, Tyskland
Dobetin Italia
Dodex Tyrkia
Droxofor Venezuela
Duradoce Mexico
Emicobal Egypt
Hamo Vilobex Tyskland
Hidro Doce 5000 Venezuela
Ibedox Venezuela
L Vit 12 India
Lifaton B12 Spania
Lophakomp B12 Tyskland
Optovite B12 Spania
Osve Vitamin B12 Iran
Permadoze Portugal
Reedvit Argentina
Reiculoger Ecuador, Spania
Rowo Vitamin B12 Tyskland
Rubivamin Egypt, USA
Vibalmin Iran
Vicapan Tyskland
Viplex B12 Tyrkia
Vitakobal Tyrkia
Vitamina B12 Belgia, Canada, Colombia, De forente arabiske emirater, Ecuador, Iran, Malaysia, Marokko, Norge, Romania, Sveits, Tunisia, Tyskland, Venezuela, Østerrike
Vitaminum B12 Polen
Vitarubine Sveits

Faktorer som påvirker stabiliteten   Injeksjon   Faktorer som påvirker stabiliteten : Cyanocobalamine        
Ingen opplysninger

  Mentions Légales