Letztes “update” :
27/01/2026
Vitamin   Cyanocobalamine  
Injektion
Stabilität der Lösung Gemengestabilität Stabilitätbeeinflussende Faktoren Kompatibilitäten Applikationsart Literaturverzeichnis pdf
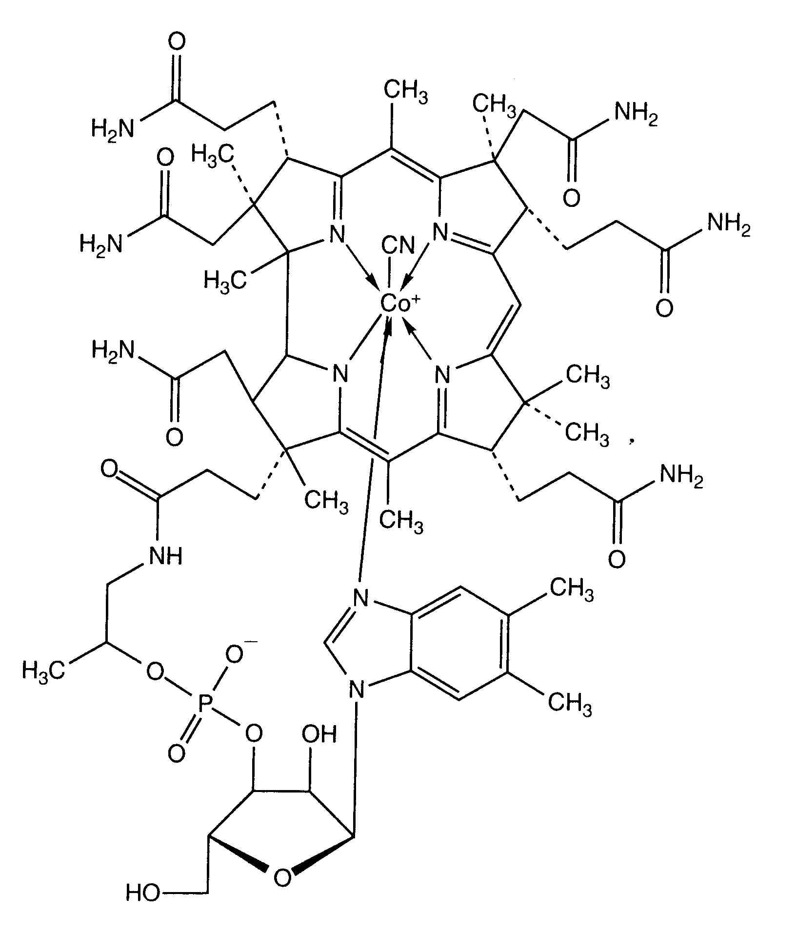
   Chemische Struktur  

Handelsmarke   Handelsmarke     

Handelsnamen sind als beispielhaft anzusehen. Sonstige Bestandteile können je nach Hersteller oder Land verschieden sein

Ambe 12 Deutschland
Ambene B Deutschland
B12 Ankermann Deutschland
B12 Asmedic Deutschland
B12 for injection Deutschland, Kanada
B12 Vicotrat Deutschland
Beto 12 Ägypten
Betolvex Ägypten, Dänemark, Finnland, Norwegen, Saudi-Arabien, Schweden, Schweiz, Vereinigte Arabische Emirate
Bitavion Iran
Cianocobalamina Chile, Ecuador, Kolumbien, Venezuela
Cidulvex Ägypten
Citon Indien
Cobal Malaysia
Cobex Kanada
Cozamon Venezuela
Cromatonbic B12 Spanien
Cyanocobalamin Ägypten, Malaysia, Neuseeland, Vereinigte Staaten von Amerika
Cyanocobalamine Frankreich, Malaysia
Cyanvit Iran
Cynovit Saudi-Arabien, Vereinigte Arabische Emirate
Cytamen Australien, Großbritannien, Irland
Cytobion Deutschland, Saudi-Arabien
Dobetin Italien
Dodex Türkei
Droxofor Venezuela
Duradoce Mexiko
Emicobal Ägypten
Hamo Vilobex Deutschland
Hidro Doce 5000 Venezuela
Ibedox Venezuela
L Vit 12 Indien
Lifaton B12 Spanien
Lophakomp B12 Deutschland
Optovite B12 Spanien
Osve Vitamin B12 Iran
Permadoze Portugal
Reedvit Argentinien
Reiculoger Ecuador, Spanien
Rowo Vitamin B12 Deutschland
Rubivamin Ägypten, Vereinigte Staaten von Amerika
Vibalmin Iran
Vicapan Deutschland
Viplex B12 Türkei
Vitakobal Türkei
Vitamina B12 Belgien, Deutschland, Ecuador, Iran, Kanada, Kolumbien, Malaysia, Marokko, Norwegen, Österreich, Rumänien, Schweiz, Tunesien, Venezuela, Vereinigte Arabische Emirate
Vitaminum B12 Polen
Vitarubine Schweiz

Stabilitätbeeinflussende Faktoren   Injektion   Stabilitätbeeinflussende Faktoren : Cyanocobalamine        
Keine Daten

  Mentions Légales