Son güncelleme :
27/04/2026
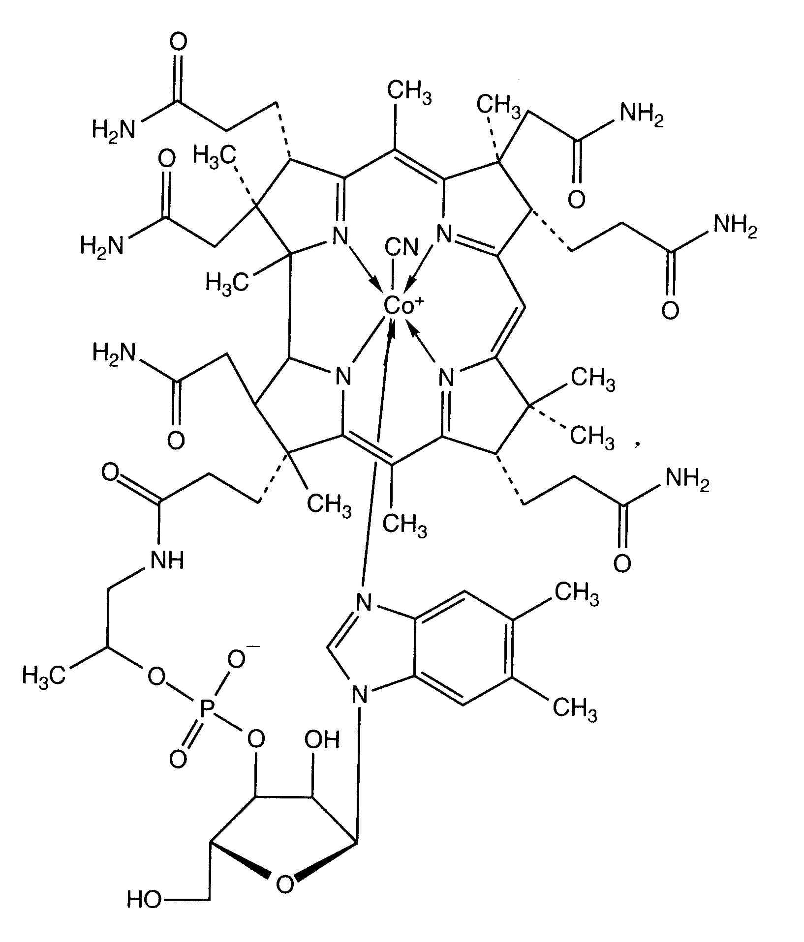
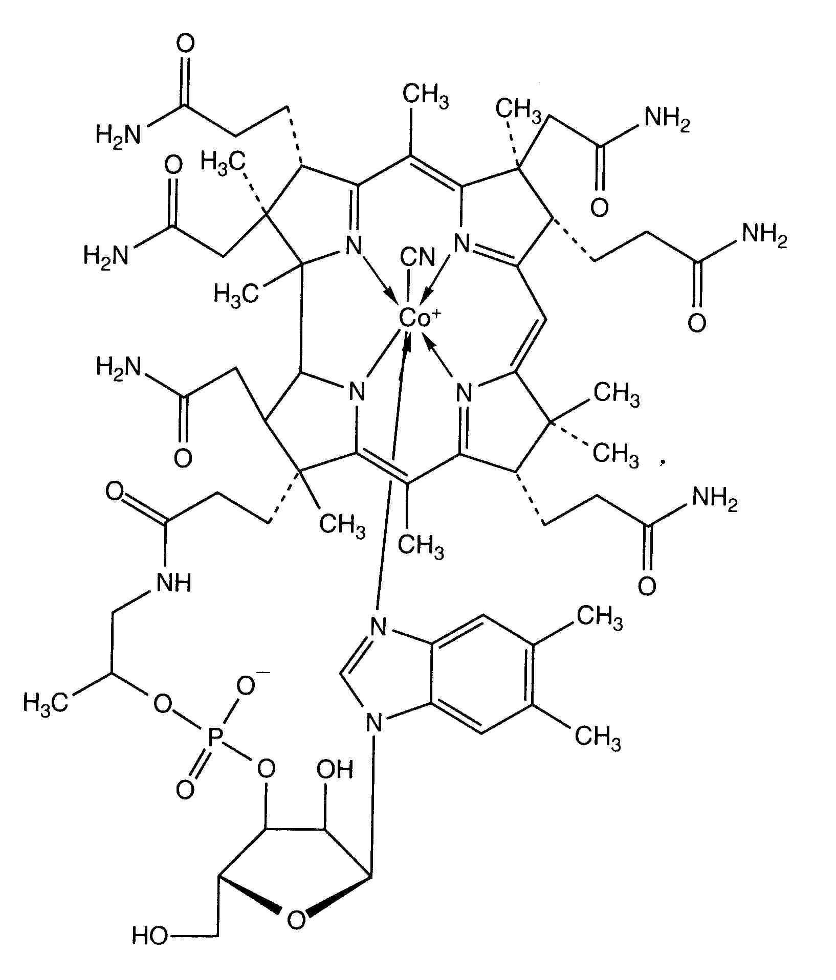
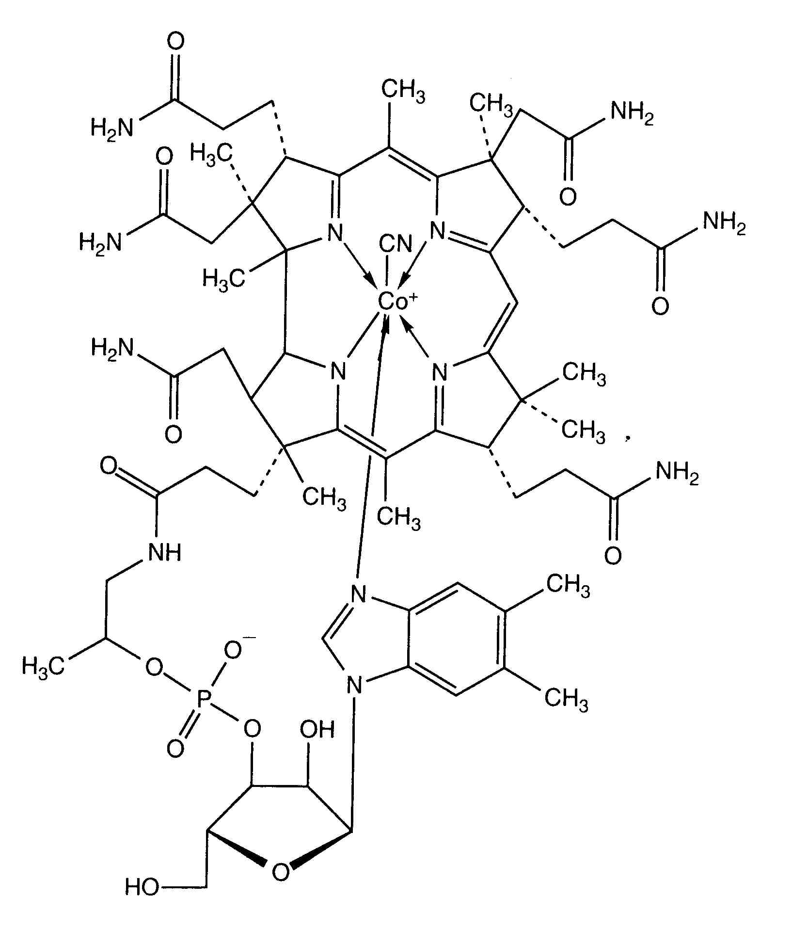
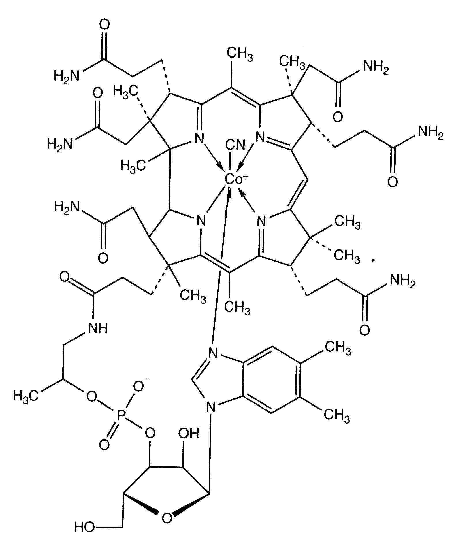
Vitamin   Cyanocobalamine  
Enjeksiyon
Çözeltilerin stabilitesi Karışımlardaki stabilitesi Stabiliteyi etkileyen faktörler Uyumluluk Uygulama yöntemi Kaynaklar pdf
   Kimyasal yapı   

Ticari isim   Ticari isim     

Trade names are indicative and excipients composition can be different depending on the country and manufacturers

Ambe 12 Almanya
Ambene B Almanya
B12 Ankermann Almanya
B12 Asmedic Almanya
B12 for injection Almanya, Kanada
B12 Vicotrat Almanya
Beto 12 Mısır
Betolvex Birleşik Arap Emirlikleri, Danimarka, Finlandiya, İsveç, İsviçre, Mısır, Norveç, Suudi Arabistan
Bitavion İran
Cianocobalamina Ekvador, Kolombiya, Şili, Venezuela
Cidulvex Mısır
Citon Hindistan
Cobal Malezya
Cobex Kanada
Cozamon Venezuela
Cromatonbic B12 İspanya
Cyanocobalamin Amerika Birleşik Devletleri, Malezya, Mısır, yeni Zelanda
Cyanocobalamine Fransa, Malezya
Cyanvit İran
Cynovit Birleşik Arap Emirlikleri, Suudi Arabistan
Cytamen Avustralya, Büyük Britanya, İrlanda
Cytobion Almanya, Suudi Arabistan
Dobetin İtalya
Dodex Türkiye
Droxofor Venezuela
Duradoce Meksika
Emicobal Mısır
Hamo Vilobex Almanya
Hidro Doce 5000 Venezuela
Ibedox Venezuela
L Vit 12 Hindistan
Lifaton B12 İspanya
Lophakomp B12 Almanya
Optovite B12 İspanya
Osve Vitamin B12 İran
Permadoze Portekiz
Reedvit Arjantin
Reiculoger Ekvador, İspanya
Rowo Vitamin B12 Almanya
Rubivamin Amerika Birleşik Devletleri, Mısır
Vibalmin İran
Vicapan Almanya
Viplex B12 Türkiye
Vitakobal Türkiye
Vitamina B12 Almanya, Avusturya, Belçika, Birleşik Arap Emirlikleri, Ekvador, Fas, İran, İsviçre, Kanada, Kolombiya, Malezya, Norveç, Romanya, Tunus, Venezuela
Vitaminum B12 Polonya
Vitarubine İsviçre
Kaynaklar   Enjeksiyon    Kaynaklar : Cyanocobalamine  

  Mentions Légales