Τελευταία ενημέρωση :
27/04/2026
Βιταμίνη   Cyanocobalamine  
Ενέσιμο
Σταθερότητα διαλυμάτων Σταθερότητα σε μίγματα Παράγοντας που επηρεάζει τη σταθερότητα Συμβατότητες Τρόπος χορήγησης Βιβλιογραφία pdf
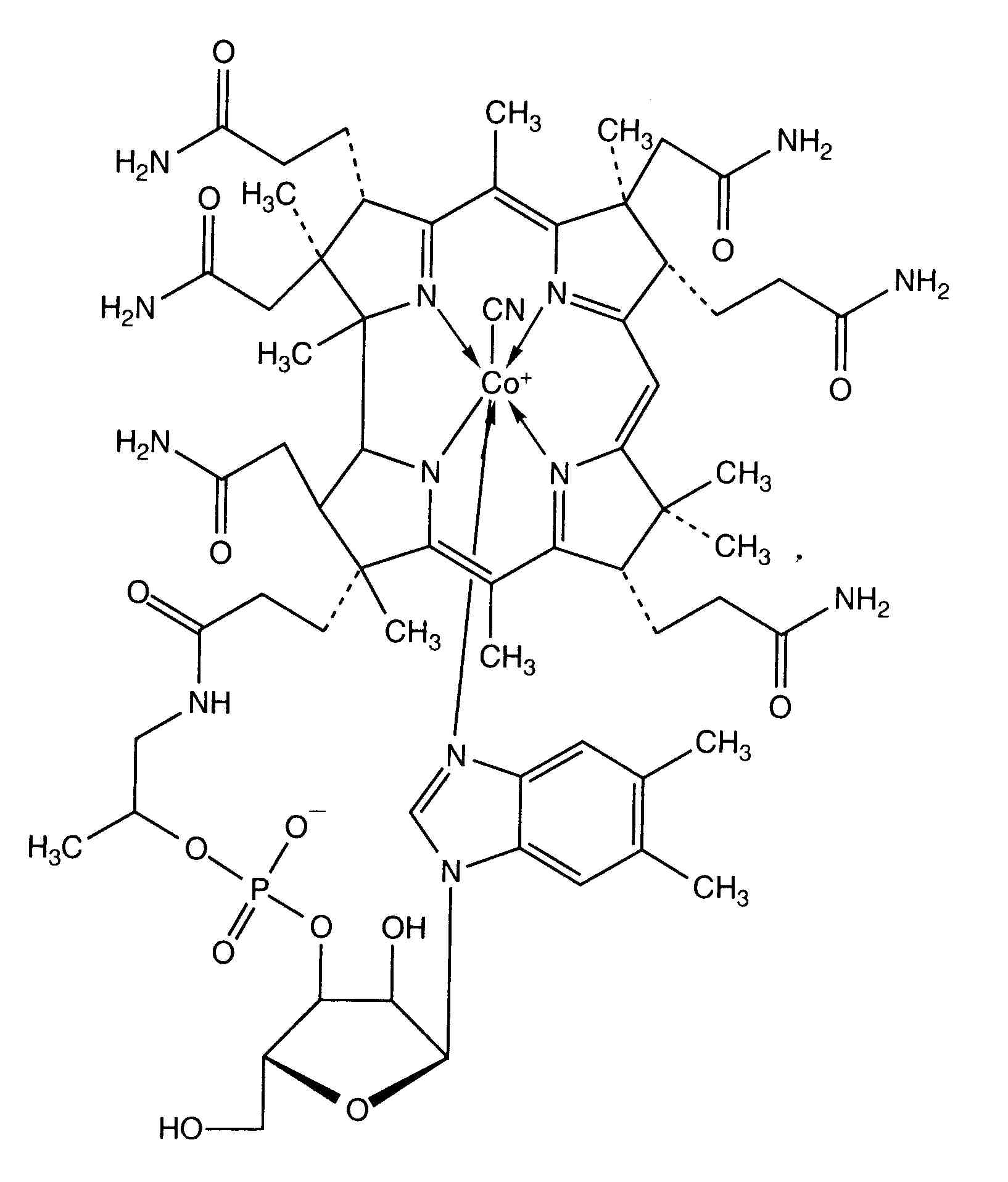
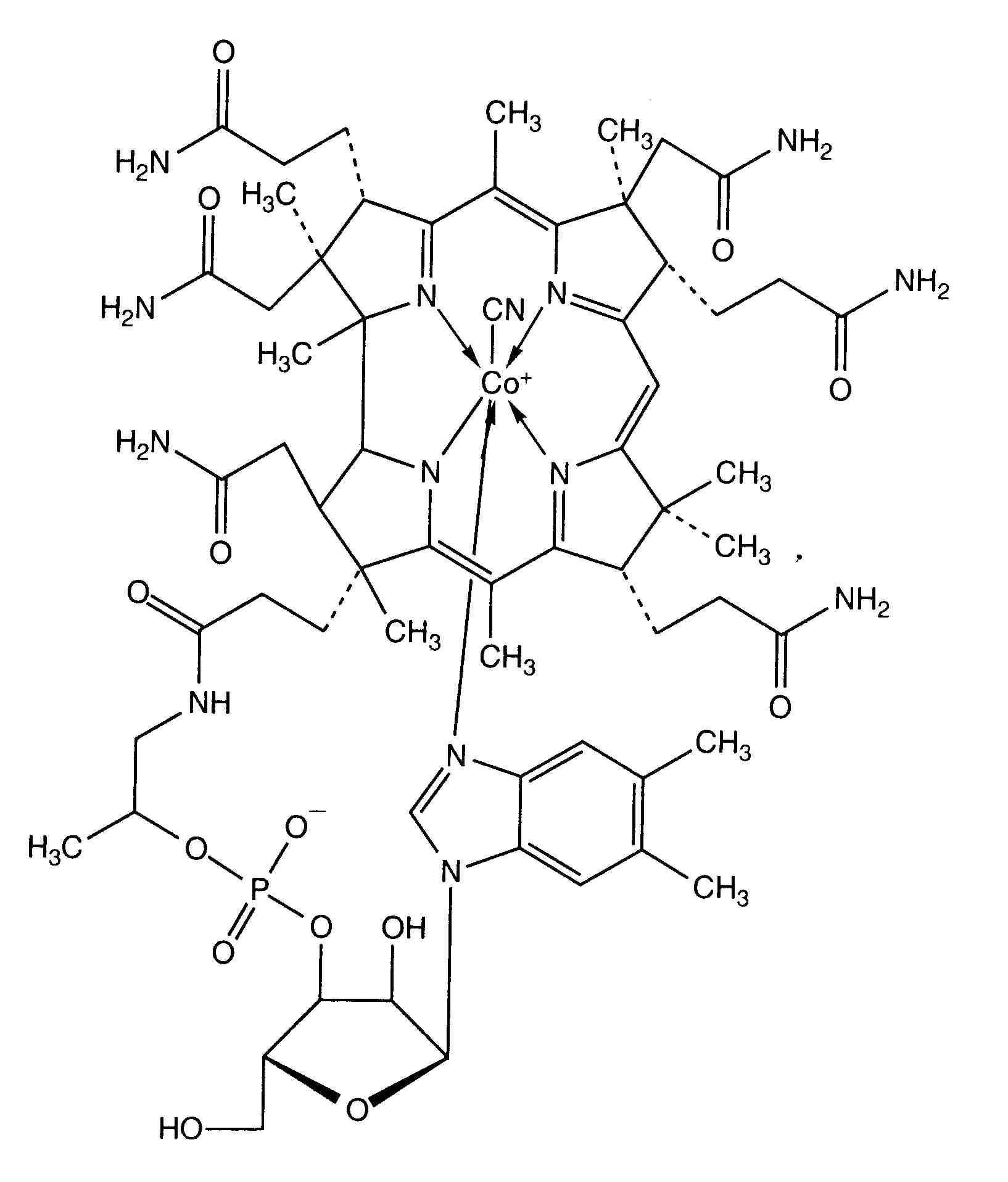
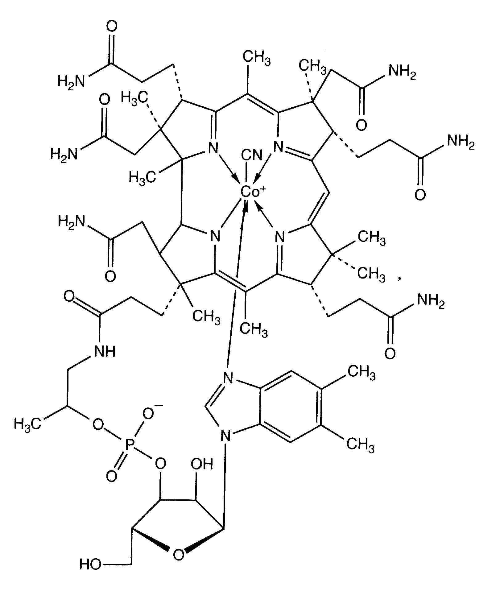
   χημική δομή  

Εμπορική ονομασία   Εμπορική ονομασία     

Οι εμπορικές ονομασίες είναι ενδεικτικές και η σύνθεση των εκδόχων μπορεί να διαφέρει ανάλογα με τη χώρα και τα εργαστήρια

Ambe 12 Γερμανία
Ambene B Γερμανία
B12 Ankermann Γερμανία
B12 Asmedic Γερμανία
B12 for injection Γερμανία, Καναδάς
B12 Vicotrat Γερμανία
Beto 12 Αίγυπτος
Betolvex Yhdistyneet arabiemiirikunnat, Αίγυπτος, Δανία, Ελβετία, Νορβηγία, Σαουδική Αραβία, Σουηδία, Φινλανδία
Bitavion Ιράν
Cianocobalamina Βενεζουέλα, Εκουαδόρ, Κολομβία, Χιλή
Cidulvex Αίγυπτος
Citon Ινδία
Cobal Μαλαισία
Cobex Καναδάς
Cozamon Βενεζουέλα
Cromatonbic B12 Ισπανία
Cyanocobalamin Αίγυπτος, Η.Π.Α., Μαλαισία, νέα Ζηλανδία
Cyanocobalamine Γαλλία, Μαλαισία
Cyanvit Ιράν
Cynovit Yhdistyneet arabiemiirikunnat, Σαουδική Αραβία
Cytamen Αυστραλία, Ιρλανδία, Μεγάλη Βρετανία
Cytobion Γερμανία, Σαουδική Αραβία
Dobetin Ιταλία
Dodex Τουρκία
Droxofor Βενεζουέλα
Duradoce Μεξικό
Emicobal Αίγυπτος
Hamo Vilobex Γερμανία
Hidro Doce 5000 Βενεζουέλα
Ibedox Βενεζουέλα
L Vit 12 Ινδία
Lifaton B12 Ισπανία
Lophakomp B12 Γερμανία
Optovite B12 Ισπανία
Osve Vitamin B12 Ιράν
Permadoze Πορτογαλία
Reedvit Αργεντινή
Reiculoger Εκουαδόρ, Ισπανία
Rowo Vitamin B12 Γερμανία
Rubivamin Αίγυπτος, Η.Π.Α.
Vibalmin Ιράν
Vicapan Γερμανία
Viplex B12 Τουρκία
Vitakobal Τουρκία
Vitamina B12 Yhdistyneet arabiemiirikunnat, Αυστρία, Βέλγιο, Βενεζουέλα, Γερμανία, Εκουαδόρ, Ελβετία, Ιράν, Καναδάς, Κολομβία, Μαλαισία, Μαρόκο, Νορβηγία, Ρουμανία, Τυνησία
Vitaminum B12 Πολωνία
Vitarubine Ελβετία
Βιβλιογραφία   Ενέσιμο   Βιβλιογραφία : Cyanocobalamine  
τύπος δημοσίευση
1228 εφημερίδα Allen LV, Stiles ML.
Compatibility of various admixtures at Y-injection sites of intravenous administration sets. Part2.
Am J Hosp Pharm 1981 ; 38: 380-381.
1859 εφημερίδα Anacardio R, Perilli O, Pagnanelli F, Bartolini S, gentile MM, Mazzeo P, Carlucci G.
Physicochemical compatibility between thiocolchicoside injections (Miotens®) and pharmaceutical products frequently used for combined therapy.
Il Farmaco 2002 ; 57: 925-930.
3549 Εργαστήριο Amikacine B Braun - Résumé des caractéristiques du produit.
B Braun 2012
4471 Εργαστήριο Amétycine 10 mg poudre pour solution injectable - Résumé des caractéristiques du produit - Oct 10, 2019
Kyowa Kirin Pharma 2019

  Mentions Légales