 |
|
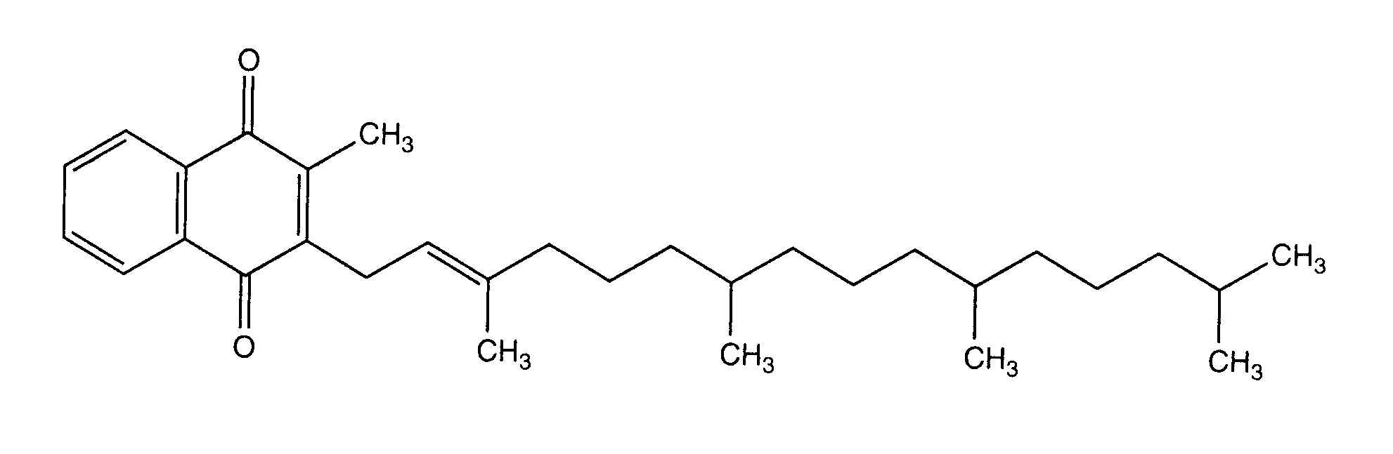
60 mg
® = Vitamine K1 injectable (Hospira) |
| Wasser für Injektionszwecke |
>> 60 ml |
|
4°C |
 |
| 105 |
 |
|
4140
|
|
 |
|
0,1 g
® = ? |
| Cremophor E1 |
2 g |
| Wasser für Injektionszwecke |
>> 100 mL |
|
4-6°C |
 |
| 180 |
 |
|
2697
|
|
 |
|
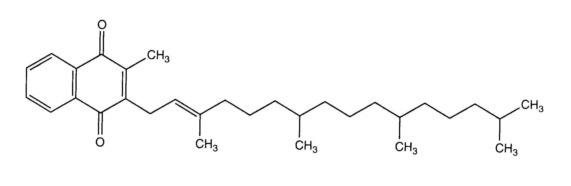
1 mg
® = Vitamine K1 injectable (Hospira) |
| Wasser für Injektionszwecke |
>> 1 ml |
|
4°C |
 |
| 14 |
 |
|
4140
|
|
 |
|
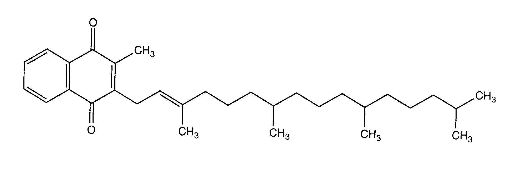
1 mg
® = Vitamine K (HOSPIRA) |
|
5°C |
 |
| 24 |
 |
|
4317
|
|
 |
|
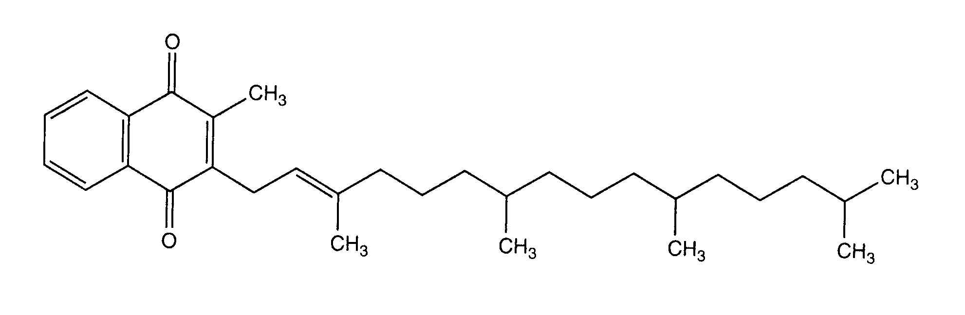
1 mg
® = Vitamine K (HOSPIRA) |
| Wasser für Injektionszwecke |
>> 1 mL |
|
5°C |
 |
| 14 |
 |
|
4317
|
|
 |
|
1 mg
® = Vitamine K (HOSPIRA) |
|
5°C |
 |
| 4 |
 |
|
4317
|
|