zadnja posodobitev :
27/04/2026
Različen   N-acetylcysteine  
Aerosol
Brizgalka Kapljice za oči Peroralna raztopina
Stabilnost farmacevtskih preparatov Stabilnost mešanice Faktorji, ki vplivajo na stabilnost Kompatibilnost Viri pdf
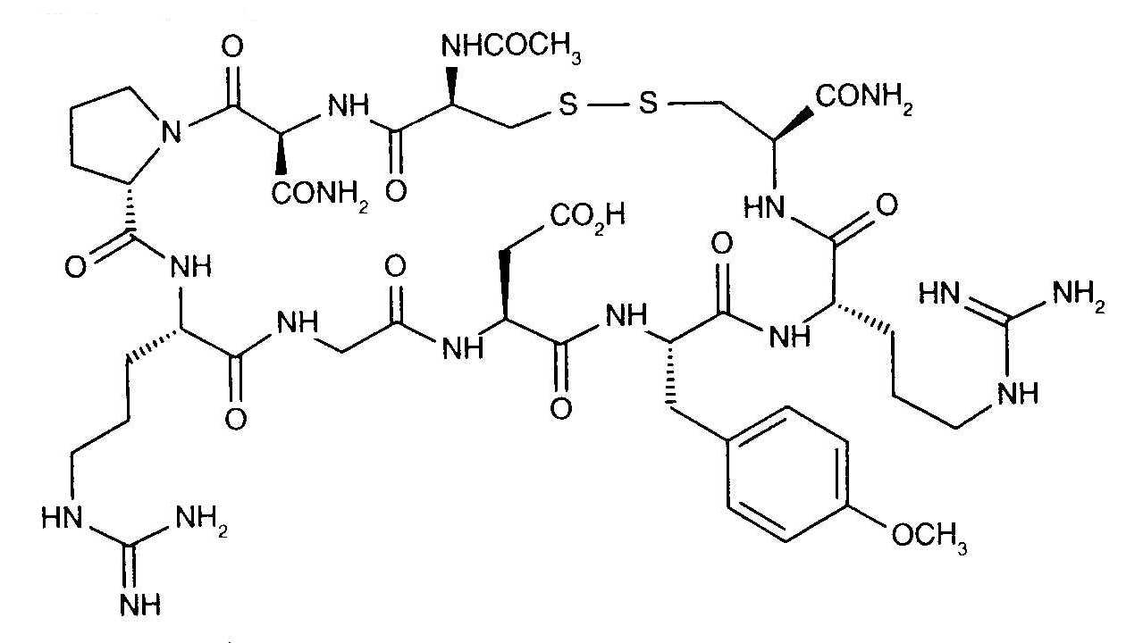
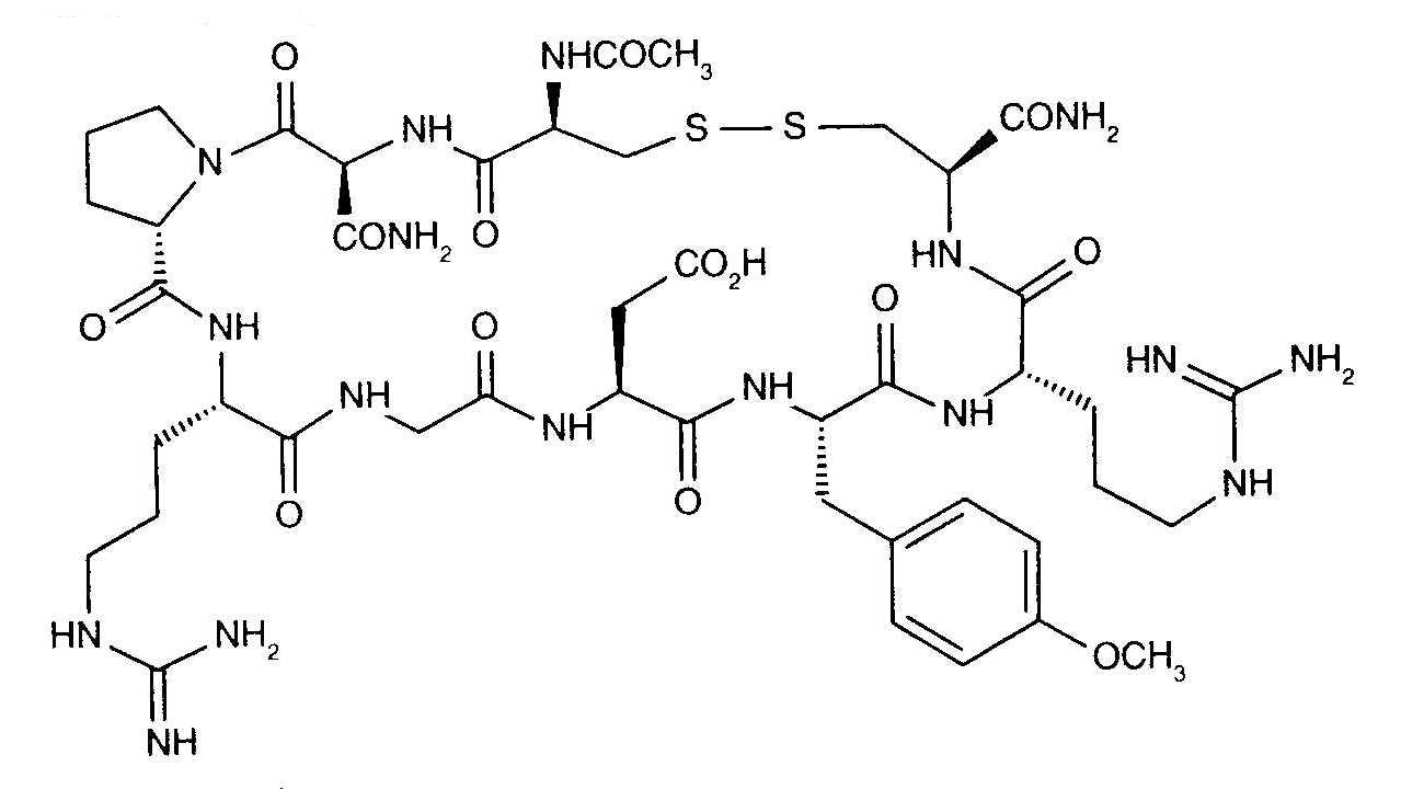
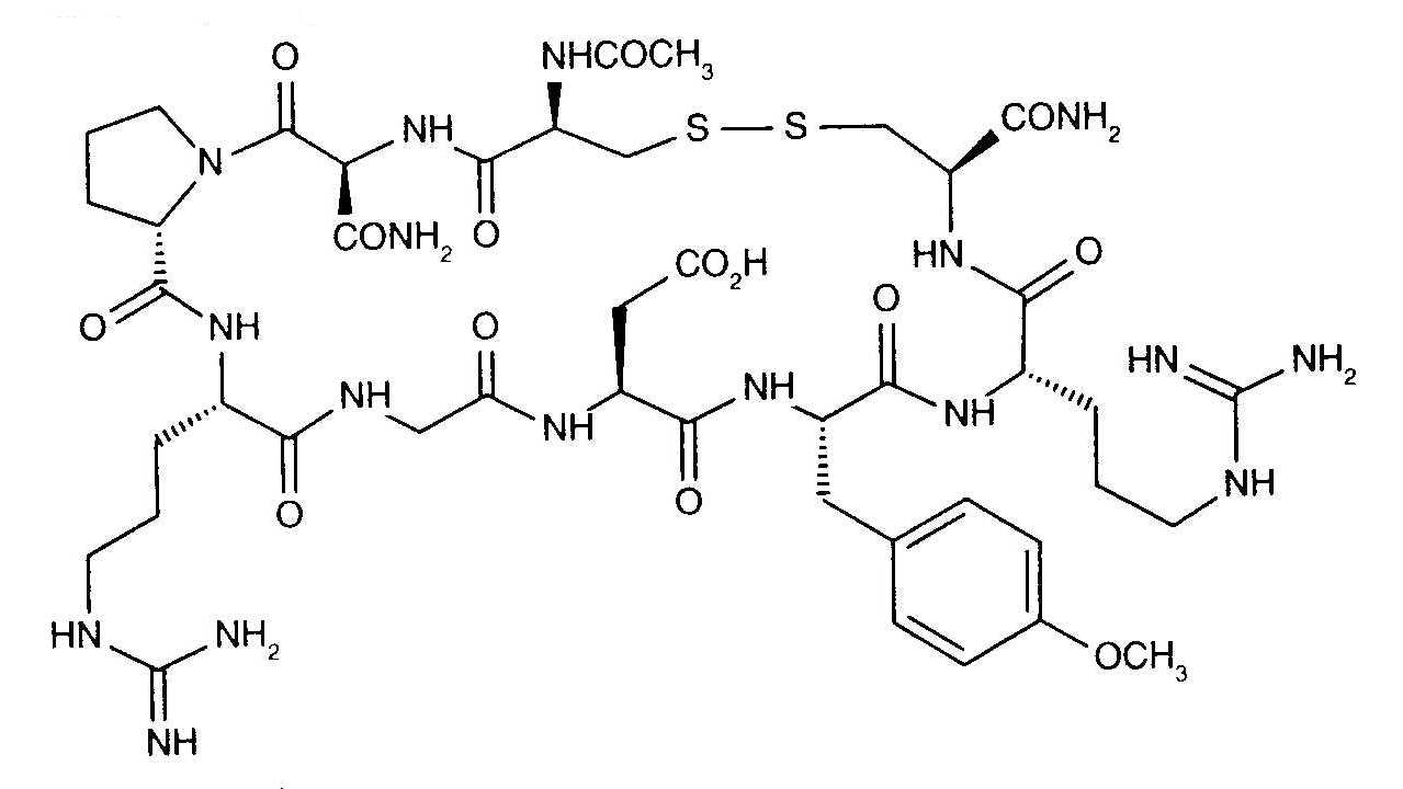
   Kemična formula  

Aerosol
Kompatibilnost   Aerosol   Kompatibilnost : N-acetylcysteine              
Ta zaslon prikazuje združljivost ali nezdružljivost s, v tem primeru, vrsto nezdružljivosti (padavine, sprememba barve, sprememba emulzije itd.). Tu prikazane združljivosti so večinoma samo fizične, pri čemer se kemijska stabilnost vsake molekule redko ocenjuje. Vrednotenje teh zmesi so preučevali, da bi preučili možnost pacientovega dajanja na mestu Y. Teh podatkov ni mogoče uporabiti za pripravo mešanic v vrečkah ali brizgah. Ta vrsta informacij je na voljo na zaslonu "Obstojnost v mešanici".
Sestava Excipient Viri

  Mentions Légales