 |
|
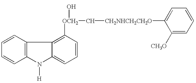
100 mg
|
| Propylenglykol |
40 ml |
| Glyserin |
10 ml |
| Sorbitol |
40 ml |
| Bringebærsmak |
0.1 % |
| Natriumsakkarin |
300 mg |
| Destillert vann |
>> 100 ml |
|
25°C |
 |
| 56 |
 |
|
3167
|
|
 |
|
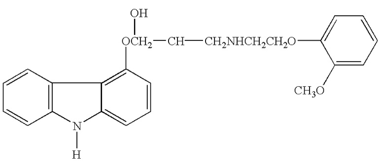
100 mg
|
| Propylenglykol |
40 ml |
| Glyserin |
10 ml |
| Sorbitol |
40 ml |
| Bringebærsmak |
0.1 % |
| Natriumsakkarin |
300 mg |
| Destillert vann |
>> 100 ml |
| Sitronsyre |
100 mg |
|
25°C |
 |
| 56 |
 |
|
3167
|
|
 |
|
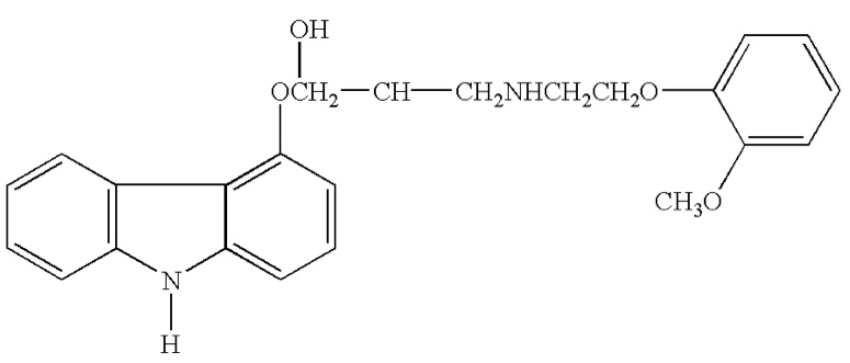
100 mg
|
| Propylenglykol |
40 ml |
| Glyserin |
10 ml |
| Sorbitol |
40 ml |
| Bringebærsmak |
0.1 % |
| Natriumsakkarin |
300 mg |
| Destillert vann |
>> 100 ml |
|
40°C |
 |
| 56 |
 |
|
3167
|
|
 |
|
100 mg
|
| Propylenglykol |
40 ml |
| Glyserin |
10 ml |
| Sorbitol |
40 ml |
| Bringebærsmak |
0.1 % |
| Natriumsakkarin |
300 mg |
| Destillert vann |
>> 100 ml |
| Sitronsyre |
100 mg |
|
40°C |
 |
| 56 |
 |
|
3167
|
|
 |
|
100 mg
|
| Propylenglykol |
40 ml |
| Glyserin |
10 ml |
| Sorbitol |
40 ml |
| Bringebærsmak |
0.1 % |
| Natriumsakkarin |
300 mg |
| Destillert vann |
>> 100 ml |
|
4°C |
 |
| 28 |
 |
|
3167
|
|
 |
|
100 mg
|
| Propylenglykol |
40 ml |
| Glyserin |
10 ml |
| Sorbitol |
40 ml |
| Bringebærsmak |
0.1 % |
| Natriumsakkarin |
300 mg |
| Destillert vann |
>> 100 ml |
| Sitronsyre |
100 mg |
|
4°C |
 |
| 56 |
 |
|
3167
|
|
 |
|
150 mg
® = ? |
| SyrSpend SF PH4® |
>> 150 ml |
|
2-8°C |
 |
| 90 |
 |
|
3910
|
|
 |
|
750 mg
® = ? |
| SyrSpend SF PH4® |
>> 150 ml |
|
2-8°C |
 |
| 90 |
 |
|
4177
|
|
 |
|
150 mg
® = ? |
| SyrSpend SF PH4® |
>> 150 ml |
|
20-25°C |
 |
| 90 |
 |
|
3910
|
|
 |
|
18.75 mg
®=? (GlaxoSmithKline) |
| Sorbitol |
8.75 g |
| Renset vann |
>> 30 ml |
|
22-26°C |
 |
| 56 |
 |
|
2931
|
|
 |
|
18.75 mg
®=? (GlaxoSmithKline) |
| Sorbitol |
8.75 g |
| Renset vann |
>> 30 ml |
|
4-8°C |
 |
| 56 |
 |
|
2931
|
|