Cập nhật lần cuối :
27/01/2026
Thuốc chẹn beta giao cảm   Carvedilol  
Dung dịch uống
Tính ổn định của các chế phẩm Độ ổn định khi trộn lẫn Những yếu tố ảnh hưởng đến độ ổn định Khả năng tương thích Tài liệu tham khảo Pdf
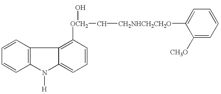
   Cấu trúc hóa học  

Dung dịch uống
Tính ổn định của các chế phẩm   Dung dịch uống   Tính ổn định của các chế phẩm : Carvedilol     
Bao bì Nguyên bản Tá dược Nhiệt độ Bảo quản Thời gian ổn định Mục lục
Thủy tinh Bột 100 mg
Propylen glycol 40 ml
Glycerin 10 ml
Sorbitol 40 ml
Hương mâm xôi 0.1 %
Natri saccharin 300 mg
Nước cất >> 100 ml
25°C Tránh ánh sáng
56 Ngày
3167

Thủy tinh Bột 100 mg
Propylen glycol 40 ml
Glycerin 10 ml
Sorbitol 40 ml
Hương mâm xôi 0.1 %
Natri saccharin 300 mg
Nước cất >> 100 ml
acid citric 100 mg
25°C Tránh ánh sáng
56 Ngày
3167

Thủy tinh Bột 100 mg
Propylen glycol 40 ml
Glycerin 10 ml
Sorbitol 40 ml
Hương mâm xôi 0.1 %
Natri saccharin 300 mg
Nước cất >> 100 ml
40°C Tránh ánh sáng
56 Ngày
3167

Thủy tinh Bột 100 mg
Propylen glycol 40 ml
Glycerin 10 ml
Sorbitol 40 ml
Hương mâm xôi 0.1 %
Natri saccharin 300 mg
Nước cất >> 100 ml
acid citric 100 mg
40°C Tránh ánh sáng
56 Ngày
3167

Thủy tinh Bột 100 mg
Propylen glycol 40 ml
Glycerin 10 ml
Sorbitol 40 ml
Hương mâm xôi 0.1 %
Natri saccharin 300 mg
Nước cất >> 100 ml
4°C Tránh ánh sáng
28 Ngày
3167

Thủy tinh Bột 100 mg
Propylen glycol 40 ml
Glycerin 10 ml
Sorbitol 40 ml
Hương mâm xôi 0.1 %
Natri saccharin 300 mg
Nước cất >> 100 ml
acid citric 100 mg
4°C Tránh ánh sáng
56 Ngày
3167

Lọ nhựa Bột 150 mg
® = ?
SyrSpend SF PH4® >> 150 ml
2-8°C Tránh ánh sáng
90 Ngày
3910

Lọ nhựa Bột 750 mg
® = ?
SyrSpend SF PH4® >> 150 ml
2-8°C Không rõ
90 Ngày
4177

Lọ nhựa Bột 150 mg
® = ?
SyrSpend SF PH4® >> 150 ml
20-25°C Tránh ánh sáng
90 Ngày
3910

Lọ nhựa Các viên nén 18.75 mg
®=? (GlaxoSmithKline)
Sorbitol 8.75 g
Nước tinh khiết >> 30 ml
22-26°C Tránh ánh sáng
56 Ngày
2931

Lọ nhựa Các viên nén 18.75 mg
®=? (GlaxoSmithKline)
Sorbitol 8.75 g
Nước tinh khiết >> 30 ml
4-8°C Tránh ánh sáng
56 Ngày
2931


  Mentions Légales