Son güncelleme :
27/01/2026
Antiaritmik   Flecainide acetate  
Oral solüsyon / oral çözelti
Enjeksiyon
Farmasötik preparatlar Kararlılığı Karışımlardaki stabilitesi Stabiliteyi etkileyen faktörler Uyumluluk Kaynaklar pdf
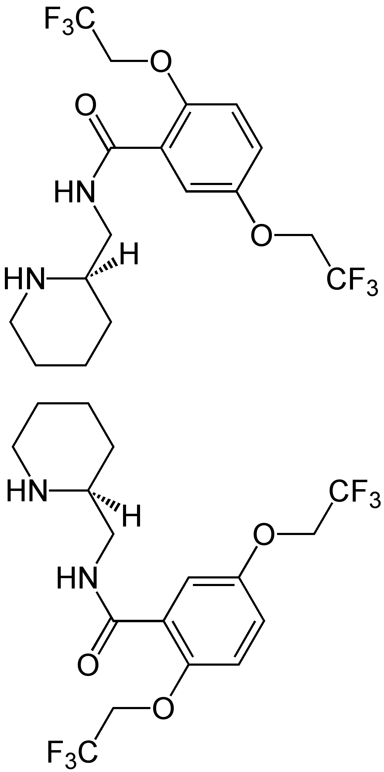
   Kimyasal yapı   

Oral solüsyon / oral çözelti
Farmasötik preparatlar Kararlılığı   Oral solüsyon / oral çözelti   Farmasötik preparatlar Kararlılığı : Flecainide acetate     
Saklama kabı Origine yardımcı madde Isı Saklama    Stabilite süresi Kaynaklar
Cam Tabletler 400 mg
Apocard®
SyrSpend SF® >> 20 ml
25°C Belirtilmemiş
90 Gün
4198

Cam Tabletler 400 mg
Apocard®
SyrSpend SF® >> 20 ml
4°C Belirtilmemiş
90 Gün
4198

Plastik şişe Tabletler 2400 mg
?
OraPlus® / OraSweet® (1:1) >> 120 ml
25°C Işıktan koruyunuz
60 Gün
2433

Plastik şişe Tabletler 2400 mg
?
OraPlus® / OraSweet SF® (1:1) >> 120 ml
25°C Işıktan koruyunuz
60 Gün
2433

Plastik şişe Tabletler 2400 mg
?
Vişne şurubu >> 120 ml
25°C Işıktan koruyunuz
60 Gün
2433

Plastik şişe Tabletler 2400 mg
?
OraPlus® / OraSweet® (1:1) >> 120 ml
4°C Işıktan koruyunuz
60 Gün
2433

Plastik şişe Tabletler 2400 mg
?
OraPlus® / OraSweet SF® (1:1) >> 120 ml
4°C Işıktan koruyunuz
60 Gün
2433

Plastik şişe Tabletler 2400 mg
?
Vişne şurubu >> 120 ml
4°C Işıktan koruyunuz
60 Gün
2433


  Mentions Légales